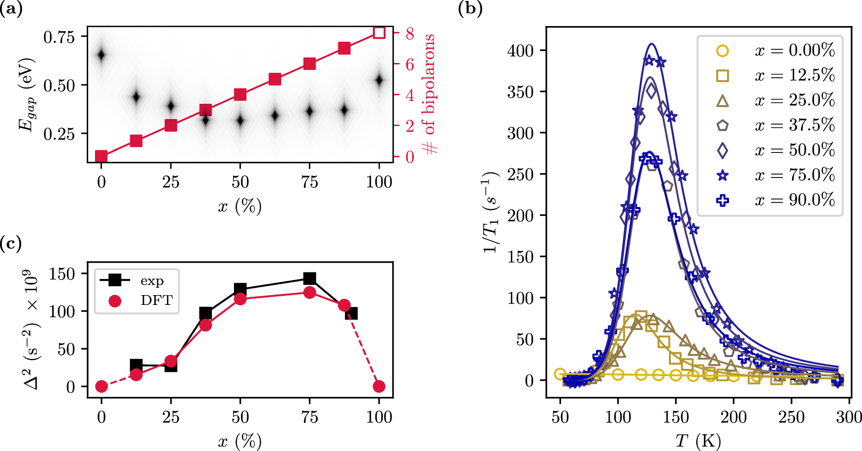
Fig. 4: Polaron dynamics in Ba2Na1−xCaxOsO6: DFT+NMR.

a DFT energy gap (black diamonds) and number of bipolarons (red filled squares) as a function of doping. Chemically doped BNOO remains insulating for any doping concentration. The number of d2 bipolaron sites grows linearly with doping. At full doping (x = 1, corresponding to BCOO) all Os sites are doubly occupied (d2) and polaron formation is completely quenched (empty square). b Polaronic 1/T1 anomalous peak data and fitting curves calculated with the quadrupole relaxation model of Eq. (1). For all investigated doping concentration doped BNOO exhibits a polaronic peak at approximately the same temperature T. c Second moment Δ2 of the fluctuating field as extracted from the experimental data (black squares) compared with our predicted data obtained from the DFT polaron phonon field (red circles). The dashed lines connect to pristine BNOO (x = 0) and BCOO (x = 1) where the absence of polaron leads to Δ2 = 0.