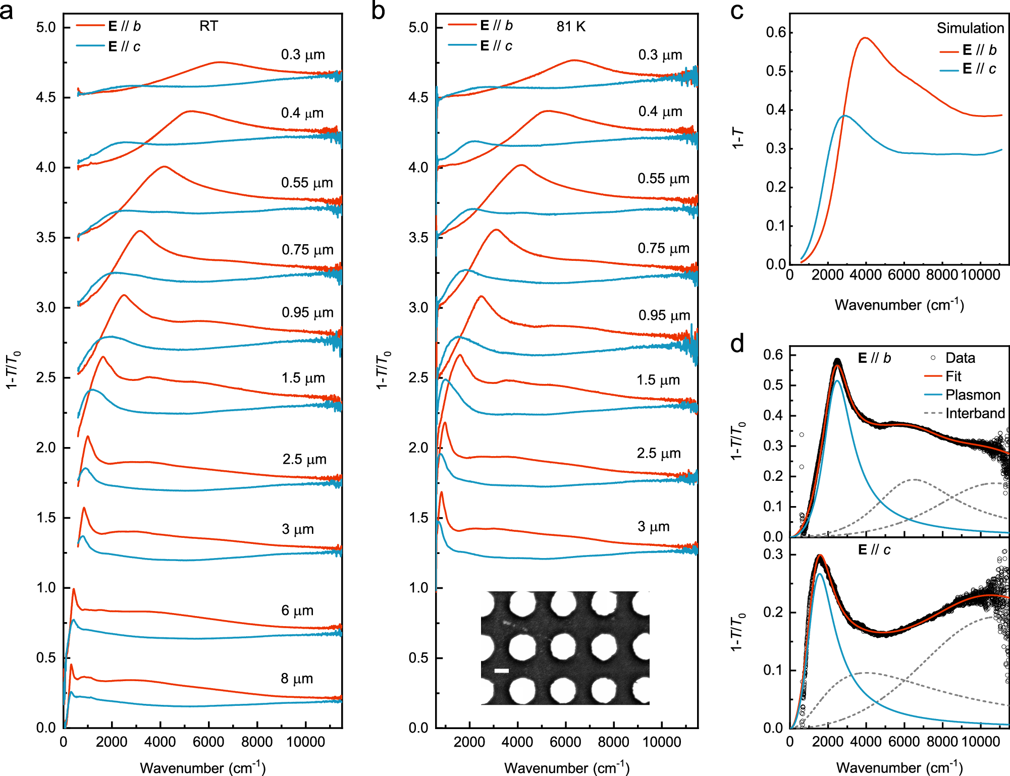
Fig. 2: Plasmons in 2M-WS2 disk arrays.
From: Tunable anisotropic van der Waals films of 2M-WS2 for plasmon canalization

a Plasmons along the two principal axes of the 2M-WS2 disks with diameters from 8 to 0.3 μm at room temperature, and the spacing between the disks is 0.65 times their diameter. Spectra for different disk arrays are vertically offset for clarity. b Measured mid- to near-infrared spectra at 81 K of the same disks, except for the two largest ones with plasmon frequencies in the far-infrared regime, as the sample area is not sufficient for long-wavelength infrared measurements. The inset is an SEM image of a typical 2M-WS2 disk array, and the scale bar is 400 nm. Spectra are vertically offset for clarity. c The extinction spectra of a suspended 2M-WS2 disk with a diameter of 1 μm, simulated using the finite element method based on fitting parameters of the film in Fig. 1. d An example showing the plasmon spectra fitting results of the disk array on a diamond substrate with a diameter of 0.95 μm in b. The black symbols, red, blue and gray dashed lines represent experimental data, along with the corresponding fitting curves of the overall extinction spectra, Drude and interband transition components, respectively.