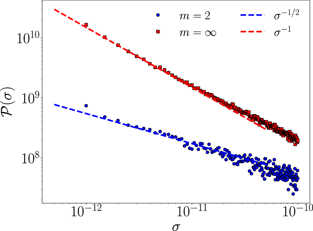
Fig. 3: Stress distributions.
From: The nature of non-phononic excitations in disordered systems

Distribution of the (modulus of) the off-diagonal stress components. (A) blue dots, case m = 2. The bin size is 10−4. The dashed line indicates the slope 1/2, as expected according to Eq. (11) for m = 2. B red dots, case m = ∞. The bin size is 10−5, smaller than in the previous case as for m=∞ there are much more small stress values. In this case the dashed line indicates the slope 1, again expected according to Eq. (11) for m = ∞.