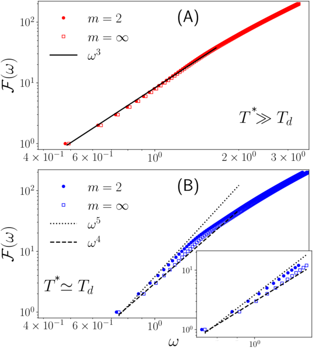
Fig. 4: Dependence of the spectra for different tapering versions.
From: The nature of non-phononic excitations in disordered systems

Numerical results for the integrated DOS \({{{{{{{\mathcal{F}}}}}}}}(\omega )=\int\nolimits_{0}^{\omega }d{\omega }^{{\prime} }g({\omega }^{{\prime} })\) of a `small' (N = 1000) system obtained for a high (T* ≫ TD, panel A) and low (T* ≃ Td, B) parental temperature, where Td is the temperature of dynamical arrest. The full symbols report the `usual' tapering case (m = 2), while the open ones correspond to m = ∞, Eq. (17), introduced in this work, in order to test the GHET. For high parental temperature (A) the low-frequency slope of the DOS s = 2 for both tapering versions, corresponding to the marginal type-I spectrum, while at low parental temperature (B) where a gap opens in the type-I-mode spectrum, the DOS is due to the type-II excitations, which exhibit an m dependent low-frequency scaling: s = 4 for m = 2 and s = 3 for m = ∞.