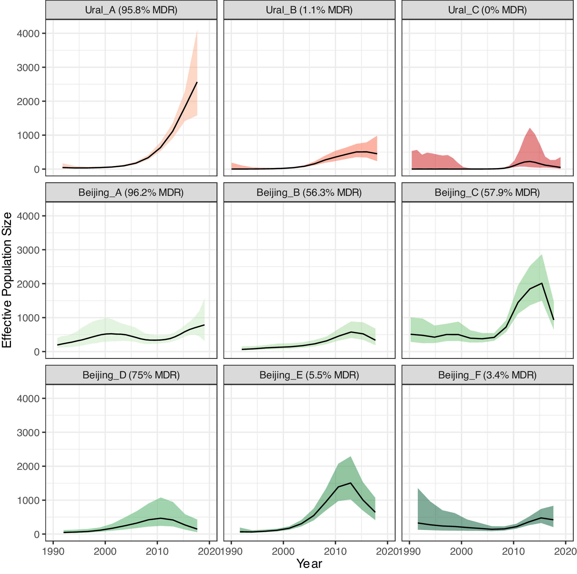
Fig. 3: Effective population size estimates by clade.
From: The recent rapid expansion of multidrug resistant Ural lineage Mycobacterium tuberculosis in Moldova

Effective population size estimates for each time-based clade, inferred using SkyGrowth. Ural lineage clades are in shades of red and Beijing lineage clades in shades of green, with the percentage of MDR strains in each clade shown in the panel header. The line represents the estimated mean, and the shaded area represents the 95% credible interval. Source data are provided as a Source Data file.