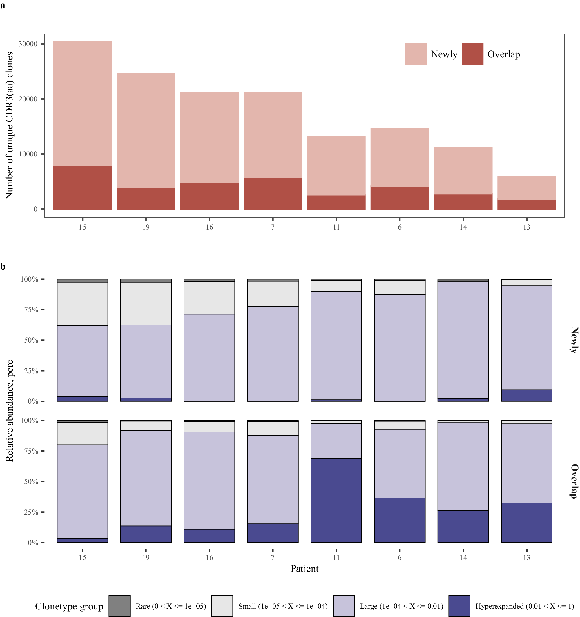
Fig. 9: TCR clonetypes changes post-neoadjuvant therapy (n = 8).

Number (a) and frequency (b) between newly generated and overlapping CDR3 (aa) clonotypes “Newly” represents newly generated clonotypes after treatment, and “overlap” represents overlapping clonotypes present in both pre- and post-neoadjuvant therapy. Hyperexpanded: clonotypes with frequency >1%; Large: clonotypes with frequency ranging from 0.01% to 1%; Small: clonotypes with frequency from 0.001% to 0.01%; Rare: clonotypes with frequency <0.001%. Source data are provided as a Source Data file.