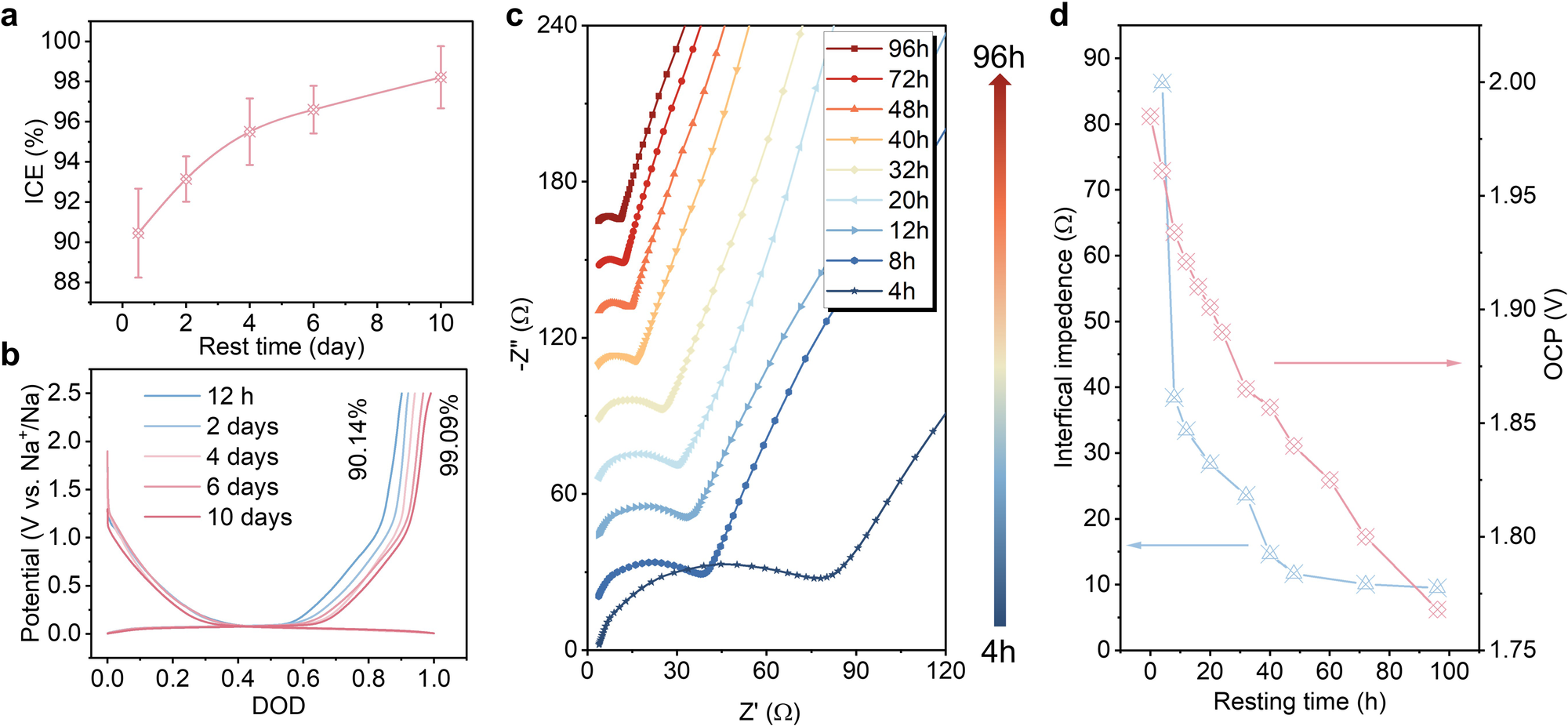
Fig. 1: Correlation between ICE of Na+ storage in hard carbon anodes and aging time.
From: Consummating ion desolvation in hard carbon anodes for reversible sodium storage

a The curve of ICE vs resting time. b The initial charge–discharge curve at different resting times. c Nyquist plots of Na||hard carbon half cells recorded at different aging times. d Summary of interface impedance and OCP changes at different aging times.