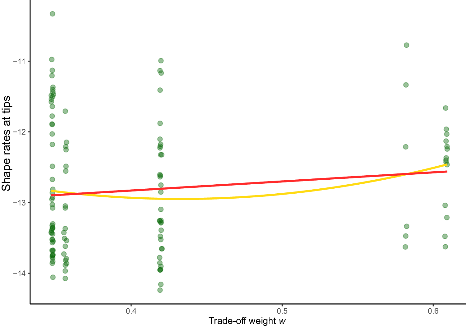
Fig. 4: Relationship between cranial shape tip rates and trade-off weight w.

The circles represent the values of trade-off weight w and cranial shape rate for each species. The two lines represent predictions from regressions of cranial shape rates at tips (dependent) on trade-off weight w (independent). The red line is obtained using linear regression, the ochre line using a 2nd-degree polynomial regression. Notice that neither of these models compares favourably to an intercept-only model. Source Data are available at https://doi.org/10.6084/m9.figshare.23553648 in the “Code and Source Data” folder, included in the Data_Figure_4.rda file.