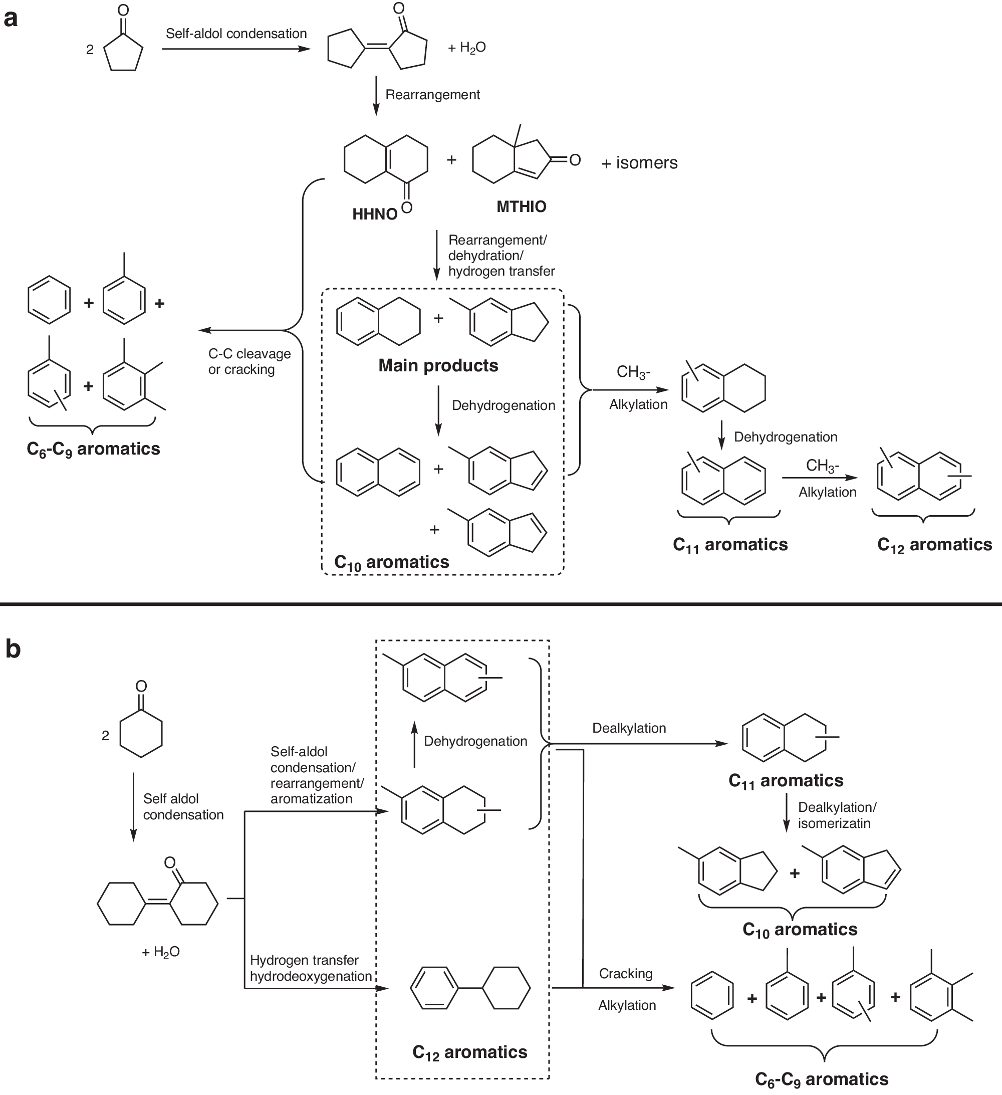
Fig. 6: Reaction pathways.
From: Selective production of methylindan and tetralin with xylose or hemicellulose

a Reaction pathway for the production of C6-C12 aromatics from CPO over the H-ZSM-5 catalysts. b Reaction pathway for the production of C6-C12 aromatics from CHO over the H-ZSM-5 catalysts. CPO: cyclopentanone. CHO: cyclohexanone. HHNO: 3,4,5,6,7,8-hexahydronaphthalen-1(2H)-one, MTHIO: 7a-methyl-5,6,7,7a-tetrahydro-1H-inden-2(4H)-one.