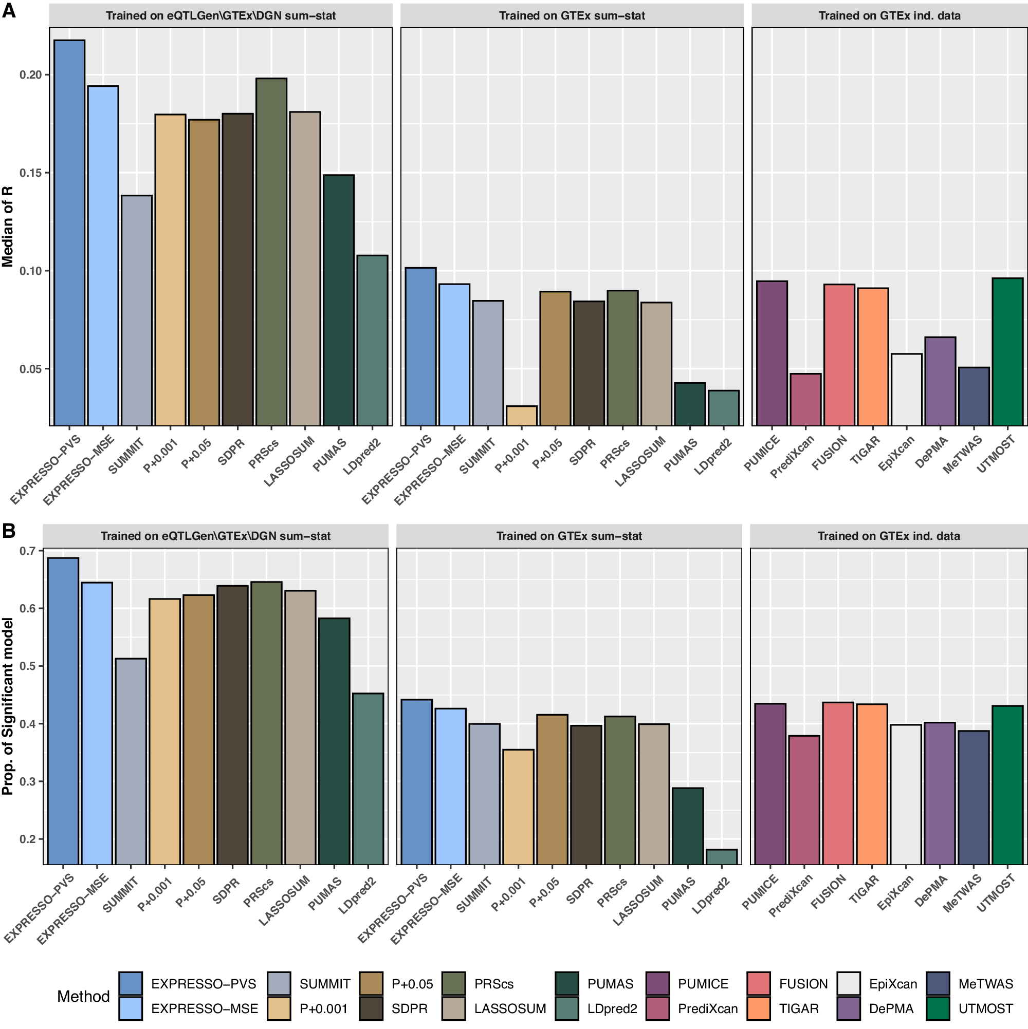
Fig. 1: Comparison of gene expression prediction accuracy using DGN as a test dataset.

Panels A, B compare TWAS methods for (A) the median of Pearson’s correlation and (B) the proportion of significant models. In each comparison, we stratify the methods into three different groups: left columns are methods trained one QTLGen/GTEx/DGN summary statistics; middle columns are results for methods trained on GTEx summary statistics; right columns are methods trained on individual-level data from GTEx. UTMOST is trained using all 48 tissues, while the other methods are trained using whole blood only.