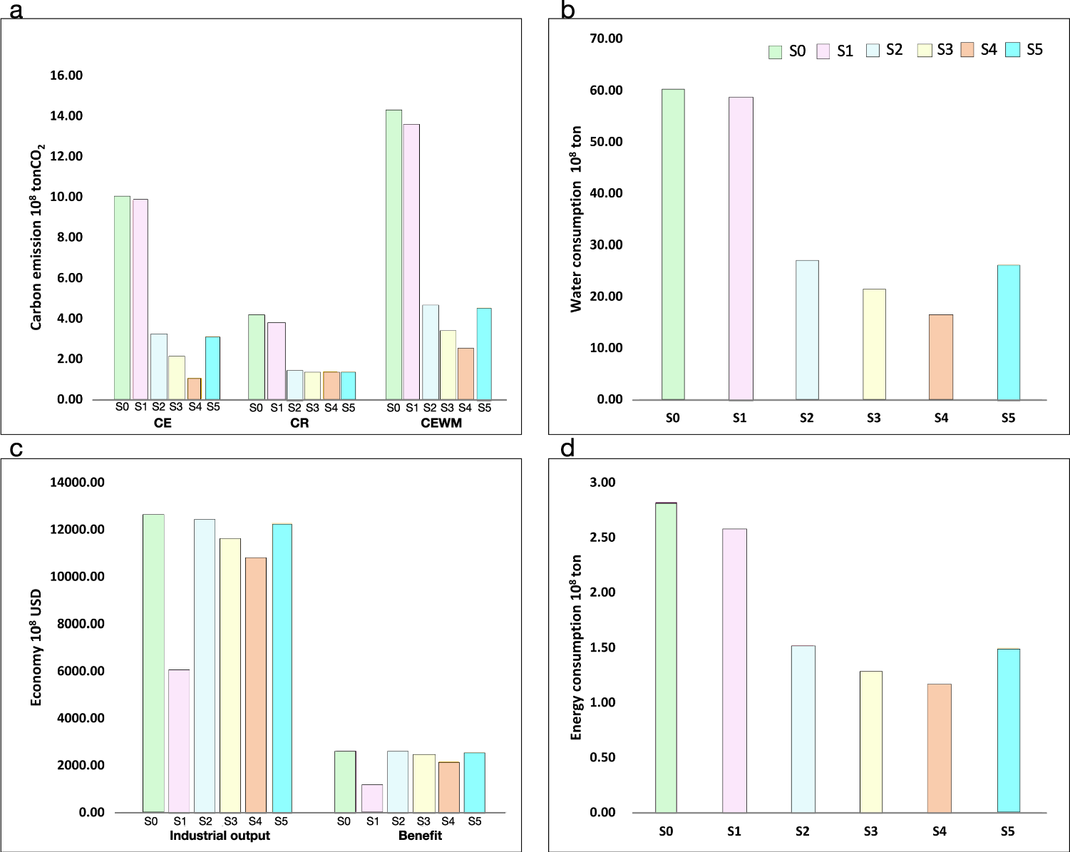
Fig. 4: Accumulated indicators of saline lake industries under different scenarios.

Analyzing the paths under 6 scenarios (S0 to S5), the scenarios (S0, S1) with no changes to the original industrial structure have greater cumulative resource consumption and environmental impacts, while the paths (S2, S3, S4, S5) with adjustments and optimization to the original industrial structure have greater economic benefits, indicating that the original industrial structure has the characteristics of high resource consumption and low value added. The indicators involved in the analysis include (a) carbon emissions with indicators of accumulated carbon emission (CE), accumulated carbon reduction (CR), and accumulated carbon emission without measures (CEWM); (b) water consumption with indicators of accumulated water consumption; (c) the economy with indicators of accumulated industrial output and accumulated benefit; and (d) energy consumption with indicators of accumulated energy consumption. Source data are provided as a source data file.