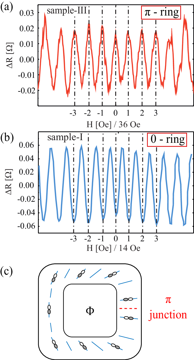
Fig. 3: π-shift in the Little–Parks oscillations.
From: The observation of π-shifts in the Little-Parks effect in 4Hb-TaS2

a The magnetoresistance of a π-ring. In these rings, the phase of the oscillations is shifted by π showing a resistance maximum at zero magnetic field. Data shown was measured at T = 2.35 K in a 0.575 μm2 ring having a thickness of ~100 nm. b The magnetoresistance of a 0-ring, having a minimum at zero magnetic field. In both (a) and (b), the background was subtracted. c Possible explanation for the π shift in the Little–Parks oscillations: Strain fields (blue lines) align the two-component order parameter close to Tc. The strain field presented here realizes a half vortex. Consequently, the order parameter, schematically represented by the white and gray lobes, can not align with strain without developing a spontaneous π junction.