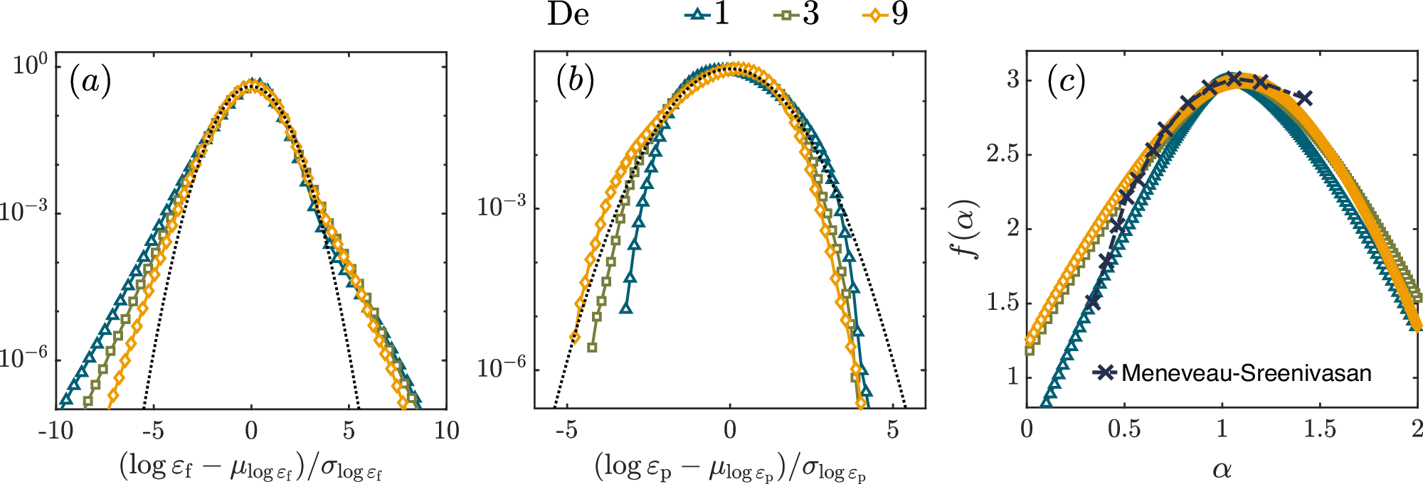
Fig. 5: Dissipation rates.

a PDFs of the logarithm of the fluid energy dissipation rate εf for all three De numbers. We denote by \({\mu }_{\log {\varepsilon }_{{{{{{{{\rm{f}}}}}}}}/{{{{{{{\rm{p}}}}}}}}}}\) and \({\sigma }_{\log {\varepsilon }_{{{{{{{{\rm{f}}}}}}}}/{{{{{{{\rm{p}}}}}}}}}}\) the mean and variance of the logarithm of energy dissipation rates. The distributions deviate significantly from a log-normal behavior in both the left and right tails. The right tails coincide for large De, similar to the coincident right tails at large \({{{{{{{\rm{Re}}}}}}}}\) in Newtonian HIT. b PDFs of the logarithm of the polymer energy dissipation rate εp for all three De numbers. The PDFs of \(\log {\varepsilon }_{{{{{{{{\rm{p}}}}}}}}}\) are sub-Gaussian, i.e., decay faster than a Gaussian, indicating εp is not intermittent. c The multifractal spectra of the fluid dissipation field calculated from the scaling of the energy dissipation rate εr calculated over a cube of side r. The black dash-dotted line shows the spectrum for Newtonian HIT57.