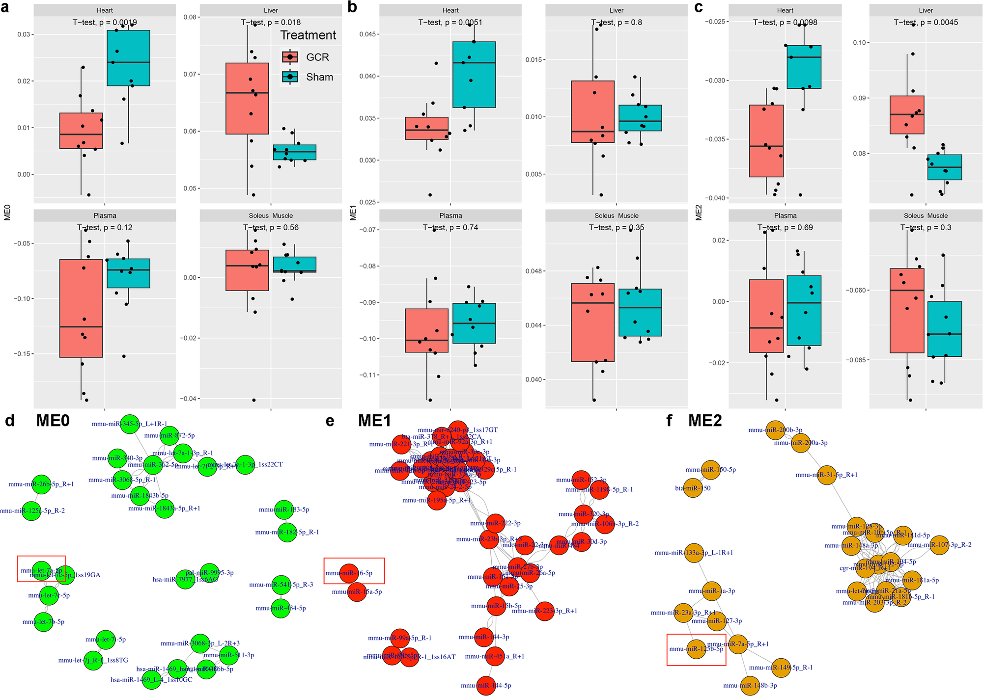
Fig. 3: MiRNA based weighted gene co-expression network analysis (WGCNA) on different organs from GCR irradiated mice.
From: Space radiation damage rescued by inhibition of key spaceflight associated miRNAs

Boxplots displaying the expression of co-expressed miRNA network a Module 0 (ME0), b Module 1 (ME1), and c Module 2 (ME2) in heart, liver, plasma, and soleus muscle samples of mice that underwent Sham or GCR treatment. The y-axis represents the eigengene expression values of each network module. For the boxplots the center line represents the median and the lines extending from both ends of the box indicates the quartile (Q) variability outside Q1 and Q3 to the minimum and maximum values. The p-values were determined by two-side pairwise comparison. Network representation of highly correlated co-expressed miRNAs for d ME0, e ME1, and f ME2. The red box annotations highlight let-7a-5p, miR-16-5p, and miR-125b-5p. For all murine experiments n = 10 biologically independent animals examined with one beam time.