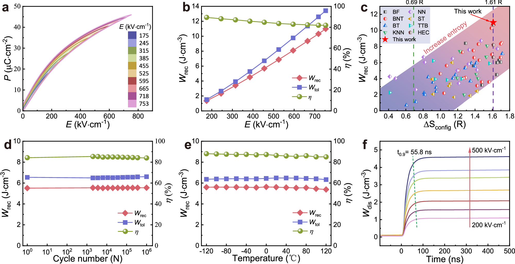
Fig. 2: Energy storage and charge/discharge performance of SBPLNN ceramics.
From: High-entropy relaxor ferroelectric ceramics for ultrahigh energy storage

a P-E hysteresis loops till the maximum test field of SBPLNN ceramics. b Wtol, Wrec, and η as a function of an electric field. c Comparison of the Wrec of reported dielectric ceramics with various ΔSconfig calculated by this work. d Wtol, Wrec, and η as a function of cycle number under 470 kV·cm−1. e Wtol, Wrec, and η as a function of temperature under 470 kV·cm−1. f Wdis as a function of time under different electric fields (R = 300 Ω).