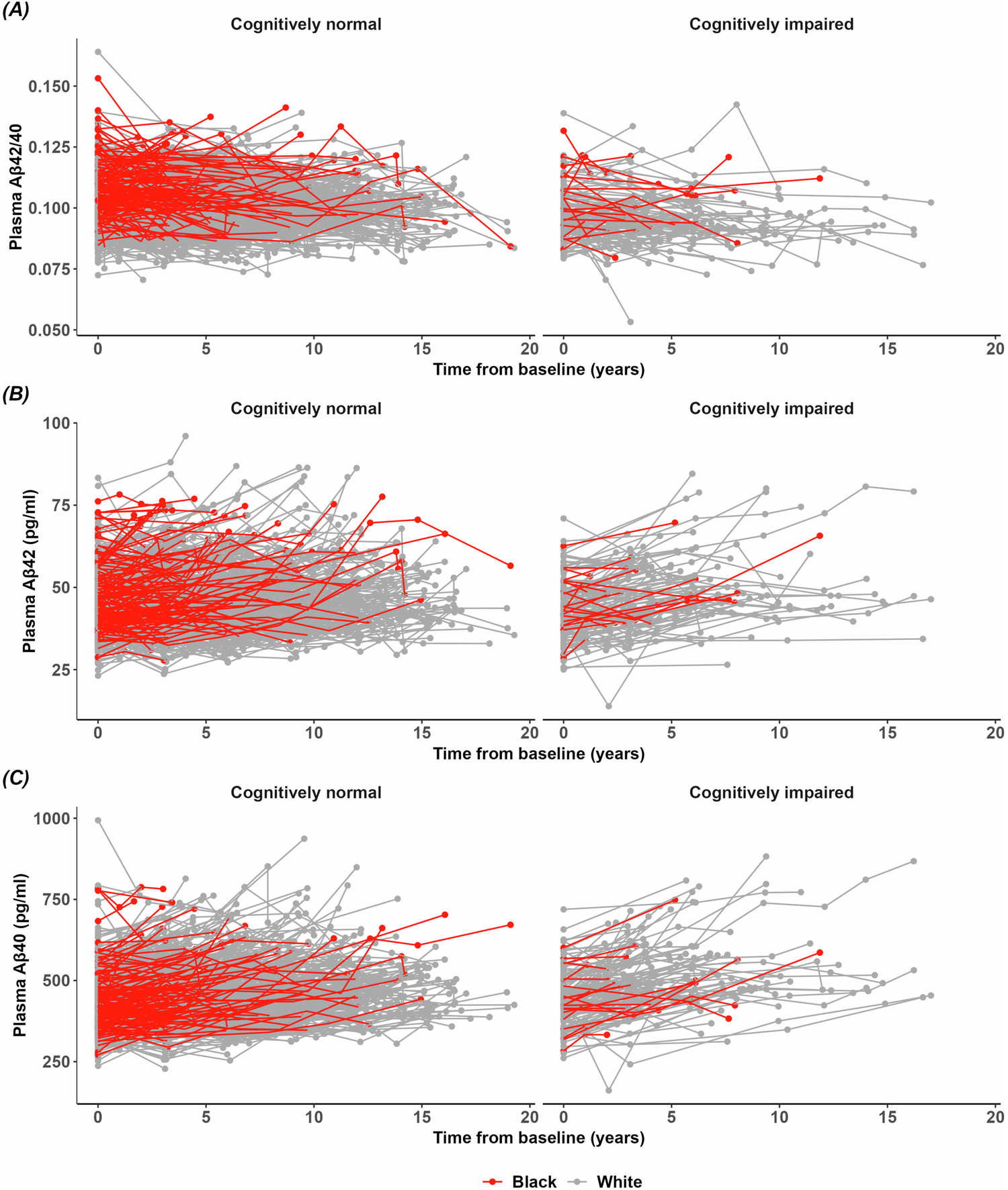
Fig. 3: Spaghetti plots of plasma biomarkers stratified by cognitive status.
From: Baseline levels and longitudinal changes in plasma Aβ42/40 among Black and white individuals

Plasma Aβ42/40 (panel A), Aβ42 (panel B), and Aβ40 (panel C) were plotted against time since baseline between cognitively normal (CDR 0, left panel) and impaired (CDR > 0, right panel) Black (N = 158) and white (N = 759) participants. Each line represents an independent individual connecting longitudinal data points, gray for white participants and red for Black participants.