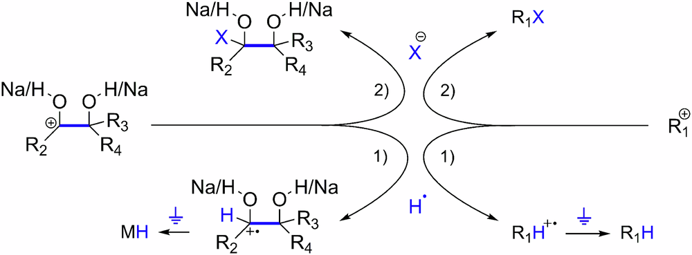
Fig. 3: Direct grounding and anion coupling in solvent to obtain the final product of carbon chain elongation reactions as depicted in Fig. 1.
From: Demethylation C–C coupling reaction facilitated by the repulsive Coulomb force between two cations

M = R2C(OH/Na)-C(OH/Na)R4R3.