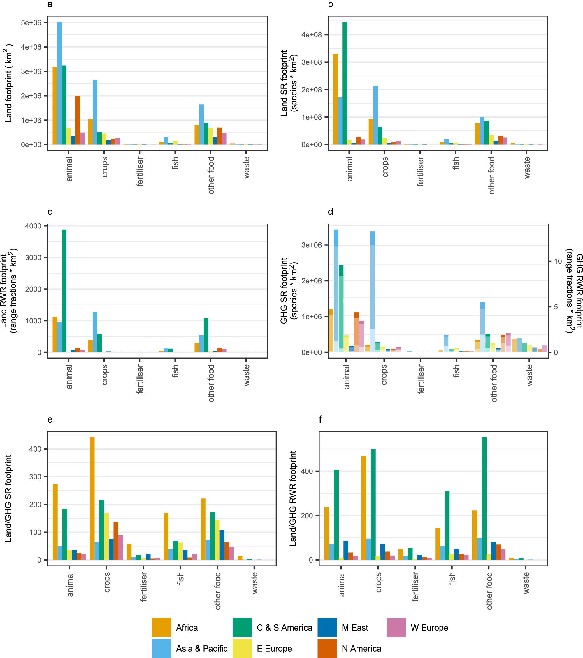
Fig. 2: Production-based footprints of aggregated food-related groups within aggregated world regions for the year 2011.
From: Impacts of the global food system on terrestrial biodiversity from land use and climate change

Footprints relate to (a) land area, (b) land-driven species richness (SR) loss, (c) land-driven rarity-weighted richness (RWR) loss, (d) GHG-driven biodiversity loss split by emissions type: carbon dioxide (dark shade), methane (mid shade), nitrous oxide (light shade) (right-hand axis – species richness; left-hand axis – rarity-weighted richness), (e) the ratio of land-driven species richness loss to total GHG-driven species richness loss and (f) the ratio of land-driven rarity-weighted richness loss to total GHG-driven rarity-weighted richness loss. Source data are provided as a source data file.