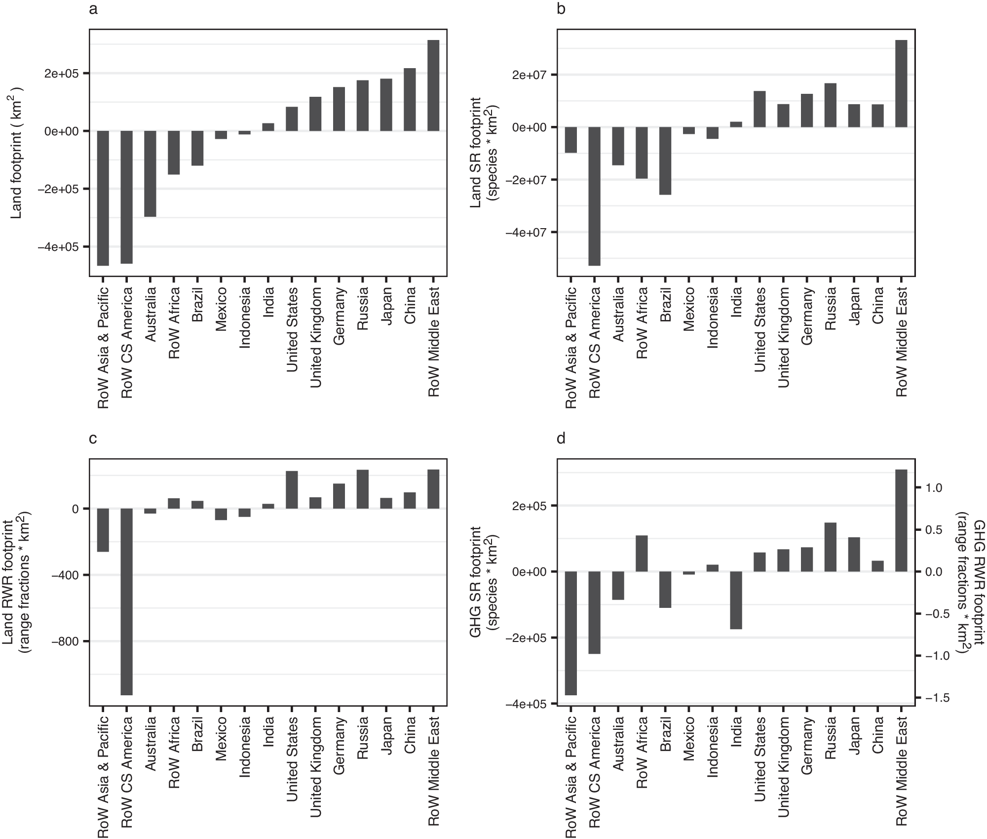
Fig. 5: Regions’ net import footprints for food-related products for the year 2011.
From: Impacts of the global food system on terrestrial biodiversity from land use and climate change

Footprints are in terms of (a) land use, (b) land-driven species richness (SR) loss, (c) land-driven rarity-weighted richness (RWR) loss and (d) GHG-driven richness loss. Regions which are in the highest five (net importers) or lowest five (net exporters) for the net import footprints are shown. RoW Rest of World. Source data are provided as a source data file.