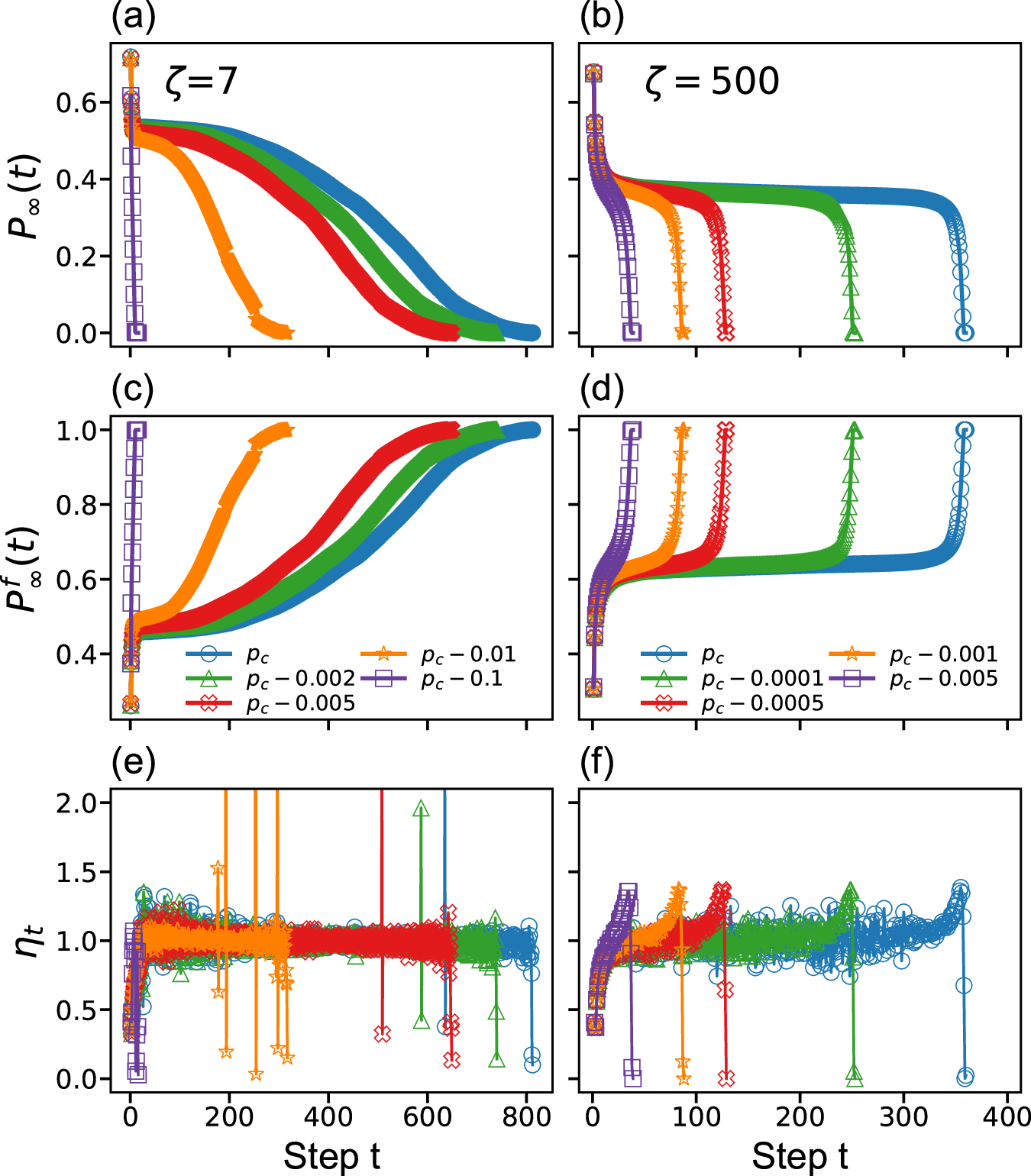
Fig. 3: Evolution of cascading failures in k-core percolation: two distinct processes and mechanisms.
From: Nucleation phenomena and extreme vulnerability of spatial k-core systems

The left column, a, c, and e corresponds to ζ = 7, and the right column, b, d, f, corresponds to ζ = 500. Different colors represent the values of p, as we get closer to criticality pc where the length of the plateau increases. a, b The size of the giant component P∞(t) for a fixed p, as a function of the k-pruning time step t. P∞ for both cases exhibits a plateau followed by a a slow parabolic decrease while in b a very sharp collapse. The parabolic decrease is a result of the nucleation process seen at the bottom row of Fig. 2a, in which the radius of damage increases close to linearly with t. c, d The size of the largest cluster formed from the failed nodes up to the time step t, \({P}_{\infty }^{f}(t)\). e, f The branching factor ηt defined as \({\eta }_{t}=\frac{{s}_{t}}{{s}_{t-1}}\) where st denotes the number of failed nodes in step t. In both cases, we can see that the branching factor is mostly close to 1 which characterizes criticality during the spontaneous cascades. All networks have the same size N and average degree 〈k〉 as in Fig. 1. The plots shown are consistent with and support the concept of two types of transition shown in Fig. 2a, for small ζ and for large ζ values.