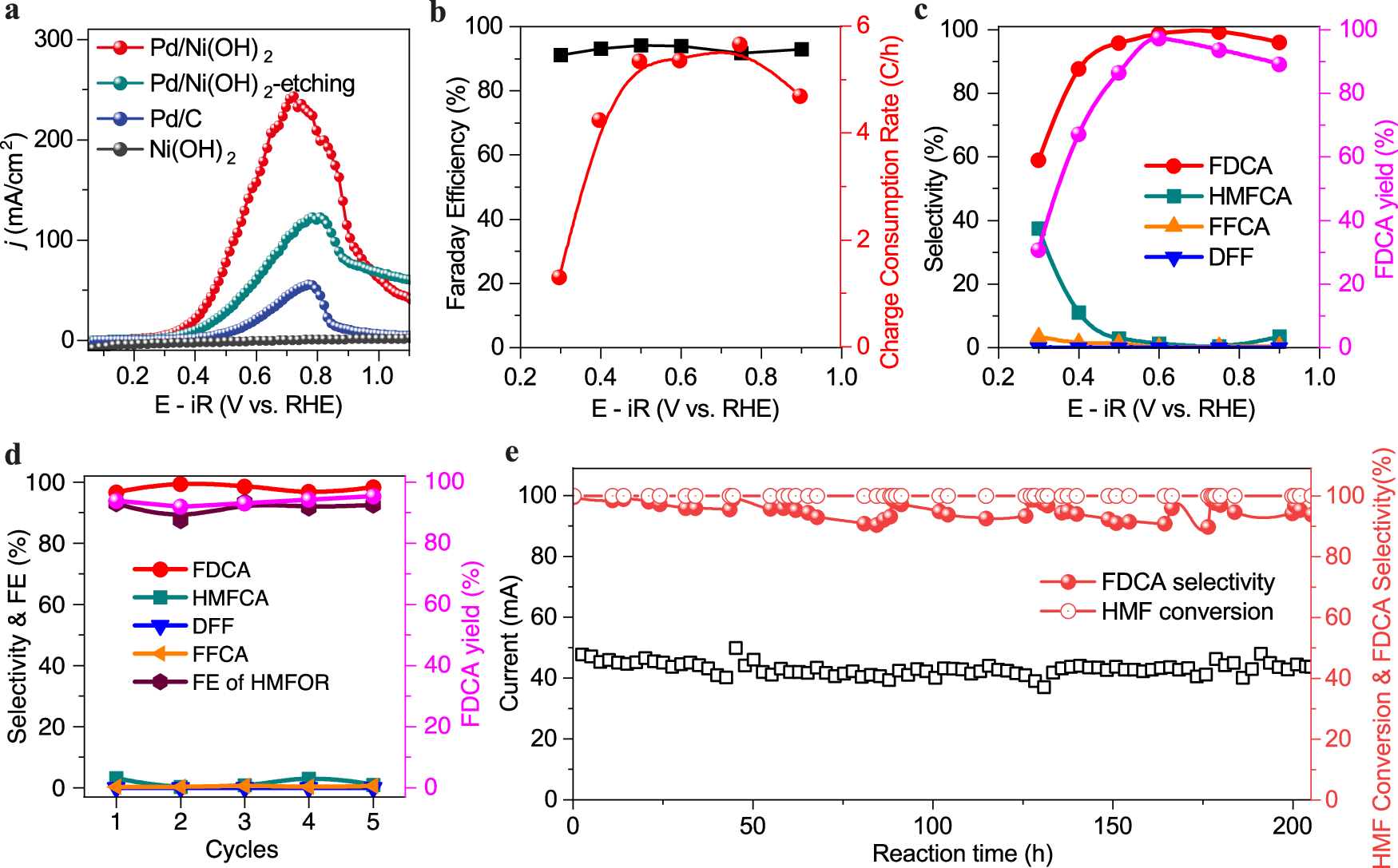
Fig. 3: Electrochemical HMFOR performance on Pd/Ni(OH)2 catalyst.
From: Enhanced electrocatalytic biomass oxidation at low voltage by Ni2+-O-Pd interfaces

a Polarization curves collected on different catalysts for HMFOR, with 95% iR corrected. b Charge consumption rate on the Pd/Ni(OH)2 catalyst for HMFOR (5 h measurement) at different oxidation potentials and the corresponding FE (the sum of FE from detected liquid products) with 95% iR corrected. c The FDCA yield and the product selectivity of HMFOR on Pd/Ni(OH)2 catalyst at different oxidation potentials. The HMFOR was carried out under an argon atmosphere (without the oxygen reduction reaction), and the other part of FE was ascribed to the decarbonylation. d Selectivity, FEs, and FDCA yield at 0.75 V for continuous 5 cycles of HMFOR on Pd/Ni(OH)2. e Stability test of Pd/Ni(OH)2 catalyst under a fixed cell voltage of 0.85 V. The cathode and anode were separated by a Nafion membrane. To prevent HMF self-condensation in the alkaline solution, the 2 M KOH solution and 10 mM HMF solution were mixed evenly before being pumped into the anode side of the flow cell reactor (The catalyst was activated by CV cycle in the potential between −1 and −2.5 V every 40 h). There were no apparent changes to the cell current density or conversion of HMF or FE of FDCA during this 200-h continuous HMFOR operation. Reaction conditions: 1.0 M KOH + 5 mM HMF with a flow rate of 1.0 mL/min.