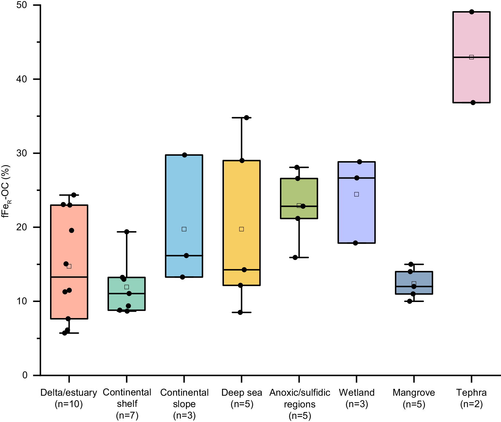
Fig. 4: Fraction of FeR-OC in TOC (fFeR-OC) values of surface sediments in different marine environments.
From: Cycling and persistence of iron-bound organic carbon in subseafloor sediments

All the published fFeR-OC data obtained from marine sediments using the CBD method were compiled (detailed information of data cited are listed in Supplementary Table 3). The average fFeR-OC value of each study area was calculated to avoid overrepresentation of study areas with large numbers of data points (Supplementary Table 3). The average fFeR-OC values were then grouped into eight categories according to the depositonal environments of these study areas and used for statistical analyzes and box-whisker plots. Box plots indicate mean (open square), median (middle line), 25th, 75th percentile (box) and 1.5 times interquartile range (whiskers) with data points (solid dots) overlapped on top. The outlier (n = 1) in the mangrove group is not shown. Source data are provided as a Source Data file.