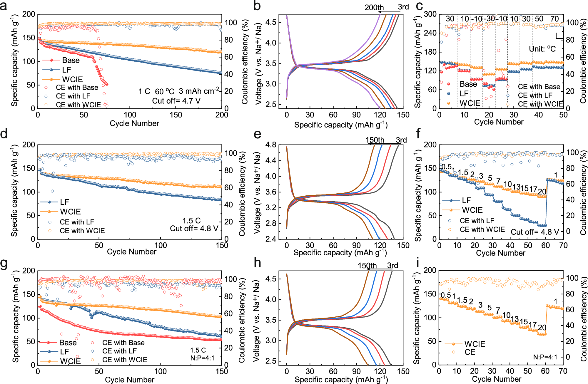
Fig. 7: Electrochemical performances testing of Na | |PB cells under special conditions.

a Long-term cycling of different electrolytes in the 3 mAh cm−2 cathode-load at 4.7 V, 60 °C. b Capacity-Voltage curves for corresponding WCIE. c Electrochemical performances testing using different electrolytes at temperatures from −30 °C–70 °C. d Long-term cycling of different electrolytes at 4.8 V. e Capacity-Voltage curves for corresponding WCIE at 4.8 V. f Rate performances of different electrolytes at 4.8 V. g–i Electrochemical performances testing of Na | |PB full cells with an N/P ratio of 4: 1 at 4.7 V.