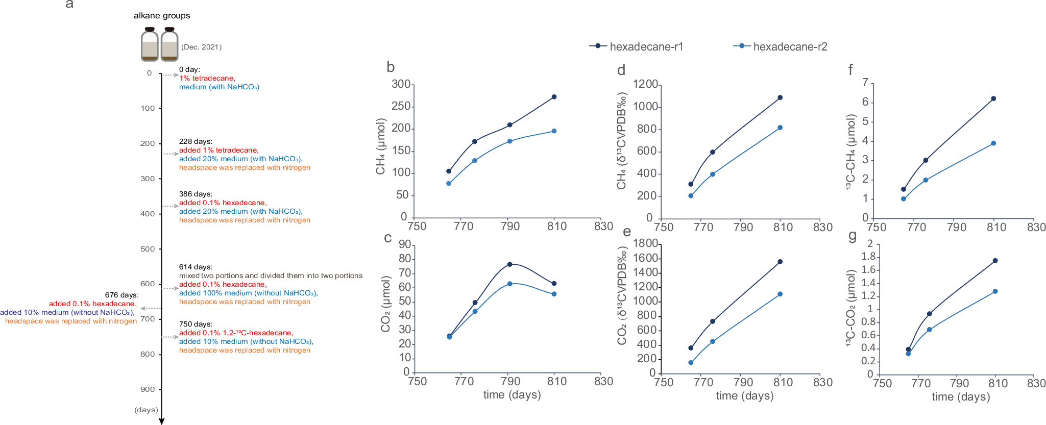
Fig. 1: Scheme of incubation experiments and formation of methane and carbon dioxide from long-chain alkanes.
From: Thermophilic Hadarchaeota grow on long-chain alkanes in syntrophy with methanogens

Scheme of incubation experiments (a), concentration of methane (b) and carbon dioxide (c), carbon isotope of methane (d) and carbon dioxide (e), and concentration of 13C-labled methane (f) and carbon dioxide (g) in the cultures. r1 and r2 represent two replicates. The samples were incubated at 60 °C in Dec. 2021. Alkane groups: two bottles of slurry samples with the addition of 1% (volume/volume) tetradecane and fresh medium (with NaHCO3) during the initial cultivation; after 228 days culturing, 1% (volume/volume) tetradecane and 20% (v/v) fresh medium (with NaHCO3) were supplemented; after 386 days culturing, 0.1% (v/v) hexadecane and 20% (v/v) fresh medium (with NaHCO3) were supplemented, and the headspace in bottles was replaced with nitrogen; at day 614, after mixing the two samples thoroughly, divide the mixture into two equal parts, 0.1% (v/v) hexadecane and 100% (v/v) fresh medium (without NaHCO3) were supplemented, the headspace in the bottles was replaced with nitrogen; after 676 days culturing, 0.1% (v/v) hexadecane and 10% (v/v) fresh medium (without NaHCO3) were supplemented, and the headspace in the bottles was replaced with nitrogen; after 750 days culturing, 0.1% (v/v) 1,2-13C-labeled hexadecane and 10% (v/v) fresh medium (without NaHCO3) were supplemented, and the headspace in the bottles was replaced with nitrogen.