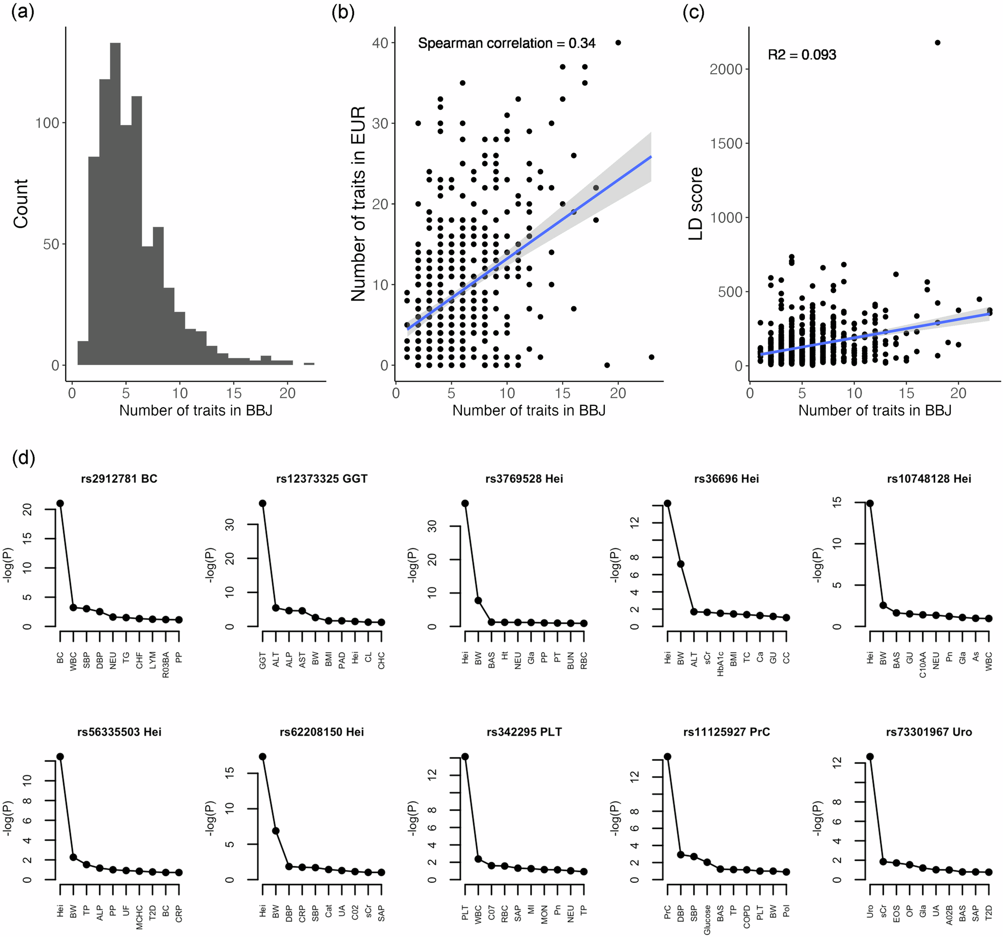
Fig. 8: Results of analysis of Biobank Japan data.

a Distribution of level of pleiotropy. b Level of pleiotropy in Biobank Japan (BBJ) and European population. c Pleiotropy in BBJ vs. LD score for East Asian population. Shaded area along the blue line is the 95% confidence band. d Ten trait-specific SNPs identified in BBJ and their top 10 associated traits. BC: breast cancer; GGT: G-glutamyl transpeptidase; PLT: platelet count; PrC: prostate cancer; Uro: urolithiasis. P-values are from two-sided z-tests for individual traits.