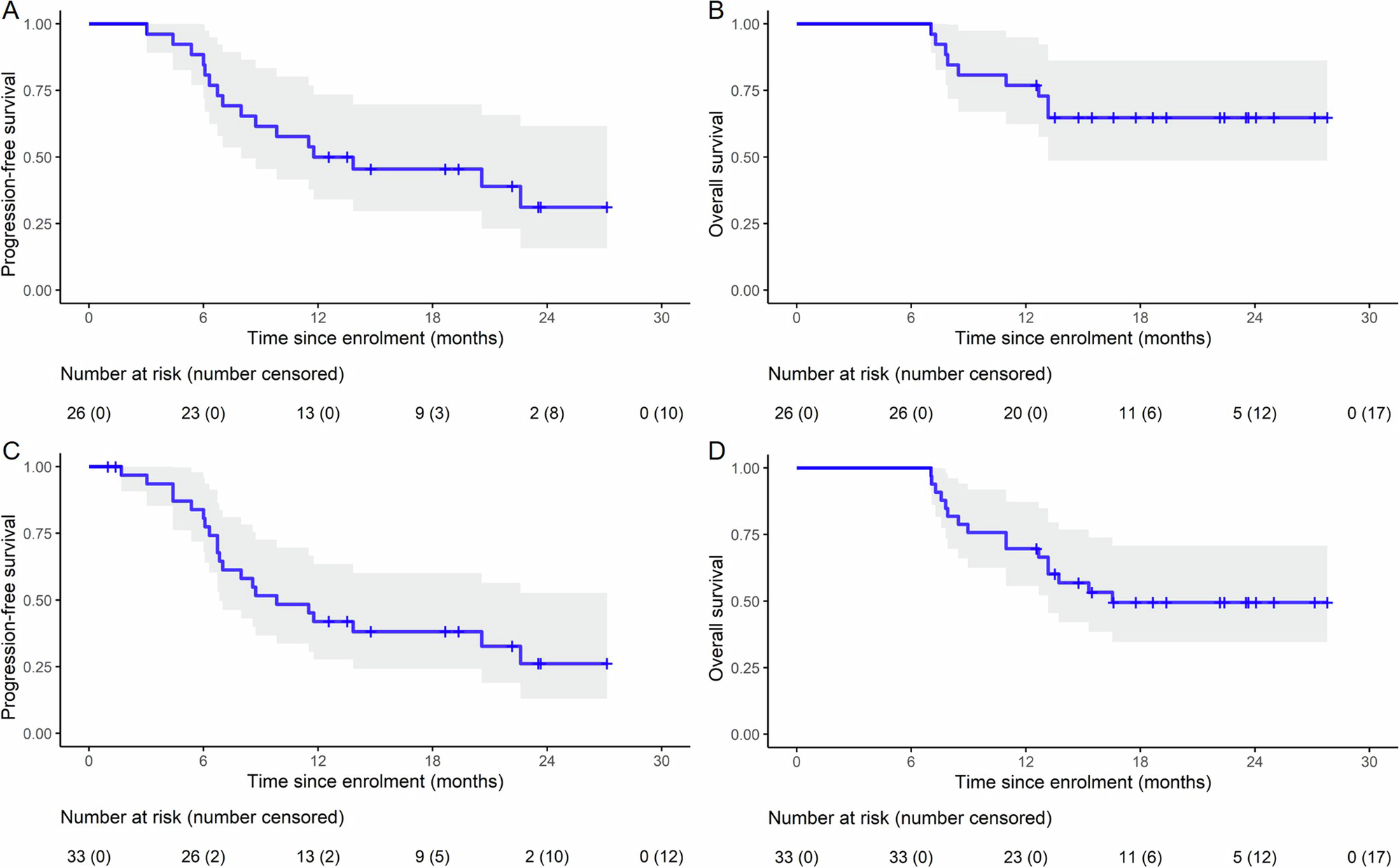
Fig. 2: Kaplan−Meier estimates of survival.

A, B PFS and OS in the efficacy-evaluable population (n = 26). C, D PFS and OS in the ITT population (n = 33). The gray shaded area represents the 95% CI. Source data are provided as a Source Data file. CI confidence interval, PFS progression-free survival, OS overall survival, ITT intention-to-treat.