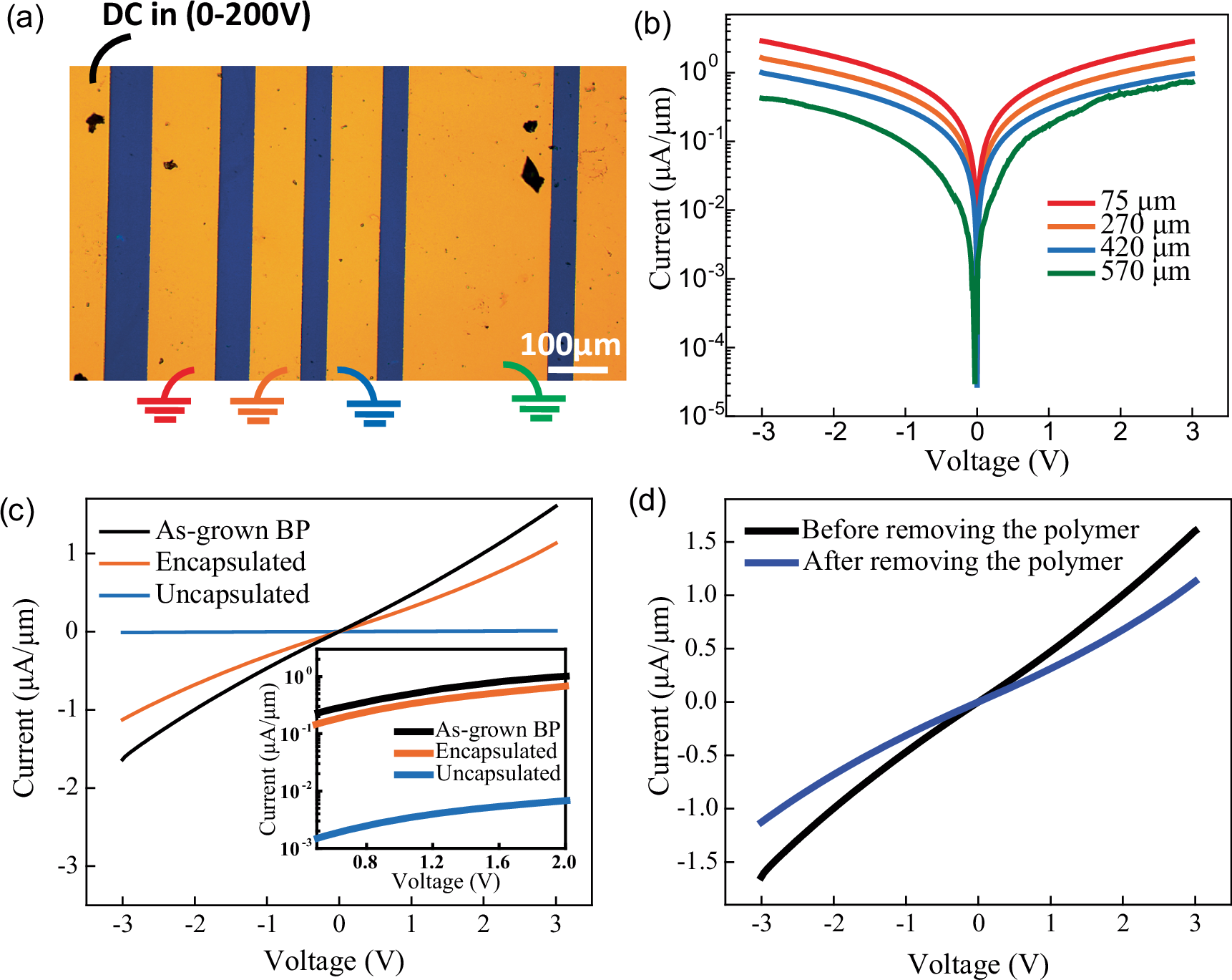
Fig. 4: Electrical properties of BP thin films.

a Optical microscope image of BP field-effect transistor (FET) arrays with different channel lengths on SiO2/Si substrate. b Drain current (Ids)-drain voltage (Vds) curves of the BP FET with 75 µm (red), 270 µm (orange), 420 µm (blue) and 570 µm (green) channel lengths. c Ids–Vds curves under different passivation conditions in linear and logarithmic (inset) scale. d Ids–Vds curves before and after removing the EVA polymer.