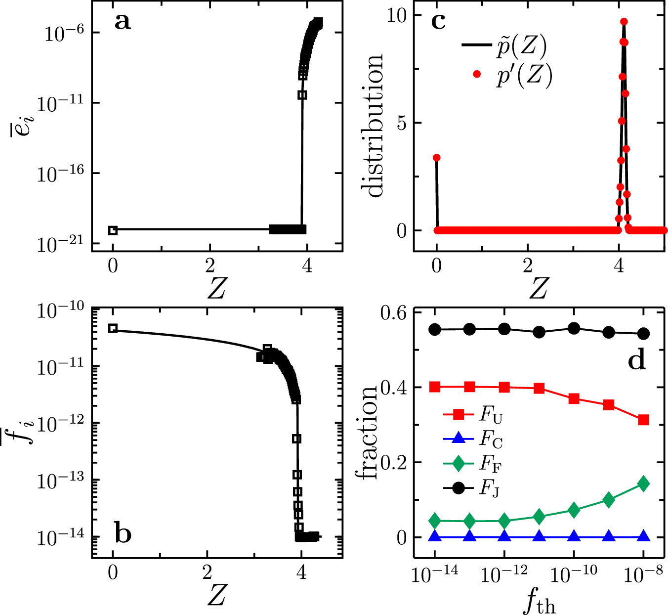
Fig. 4: Stability tests.

Average single-particle a potential energy \({\overline{e}}_{i}\) and b net force \({\overline{f}}_{i}\) as functions of Z. Lines in a and b are guides to the eye. c Comparison between \(p{\prime} (Z)\) obtained after the compression-decompression perturbation and \(\tilde{p}(Z)\) with fragile states counted as unjammed states, for N = 1000 at φ = 0.844. d Fractions of four states as functions of fth. Data are obtained for N = 256 systems at φ = 0.841, except for c.