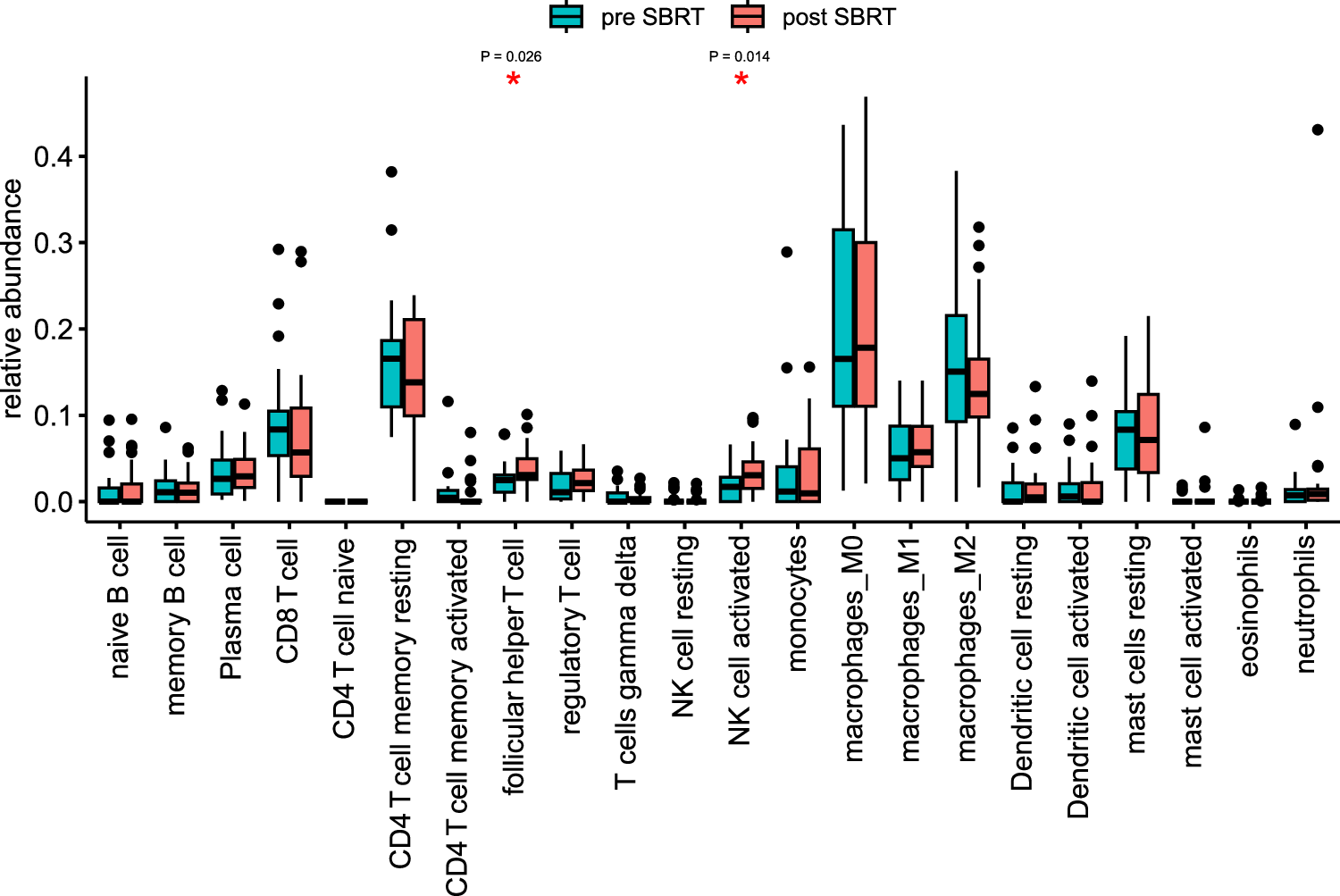
Fig. 3: The landscape and dynamic changes of infiltrating immune cells estimated using CIBERSORT in the unirradiated tumor lesions before and after stereotactic body radiotherapy (SBRT).

Forty-two paired tissue samples were collected from 21 patients. P-value < 0.05 (two-sided) was considered statistically significant using the Wilcoxon test. The exact P-values for immune cells with significant SBRT-related changes were displayed. The median, first quartile (Q1), third quartile (Q3), whiskers (minima = Q1 − 1.5IQR, maxima = Q3 + 1.5IQR), and outliers (1.5 times the IQR less than the first quartile, or 1.5 times the IQR greater than the third quartile) were presented. Raw data of RNA sequencing are now available at the GSA-Human dataset HRA006932. IQR interquartile range.