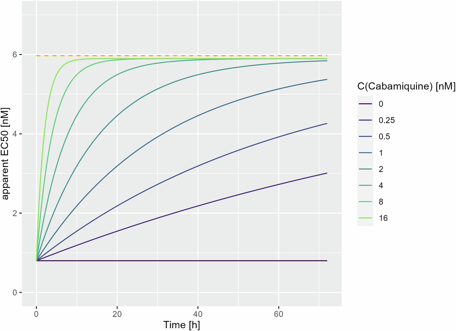
Fig. 2: Concentration-time-dependent EC50 of cabamiquine in IEV P. falciparum wild-type field isolates simulated at different concentrations over 72 h.

The orange dashed line represents the static EC50 of cabamiquine.

The orange dashed line represents the static EC50 of cabamiquine.