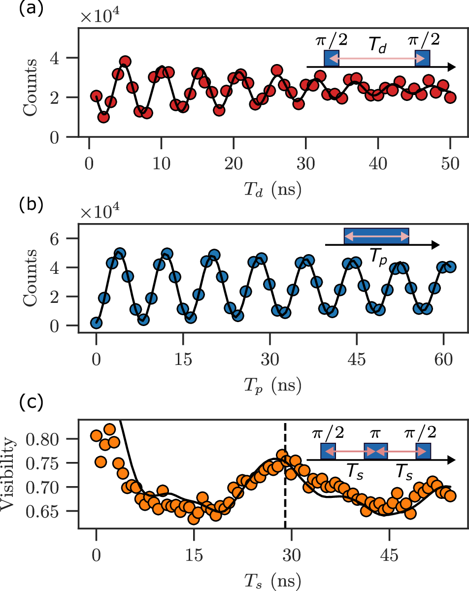
Fig. 3: Electron spin spectroscopy.
From: Deterministic photon source of genuine three-qubit entanglement

a and b display Ramsey interference and Rabi oscillation data, respectively. We use the former data to extract a spin coherence time of \({T}_{2}^{*}=\) 33(3) ns, where we model the data by assuming inhomogeneous broadening with a Gaussian distribution. From the Rabi oscillation data, we extract a Q-factor of 34(2). c shows the Hahn-echo visibility as a function of the spacing between the center of π/2-pulses and the middle π-pulse. The solid black line is a model of the data by including the nuclear noise spectrum. The dashed-vertical line indicates the echo-pulse spacing used in the GHZ entanglement generation experiment.