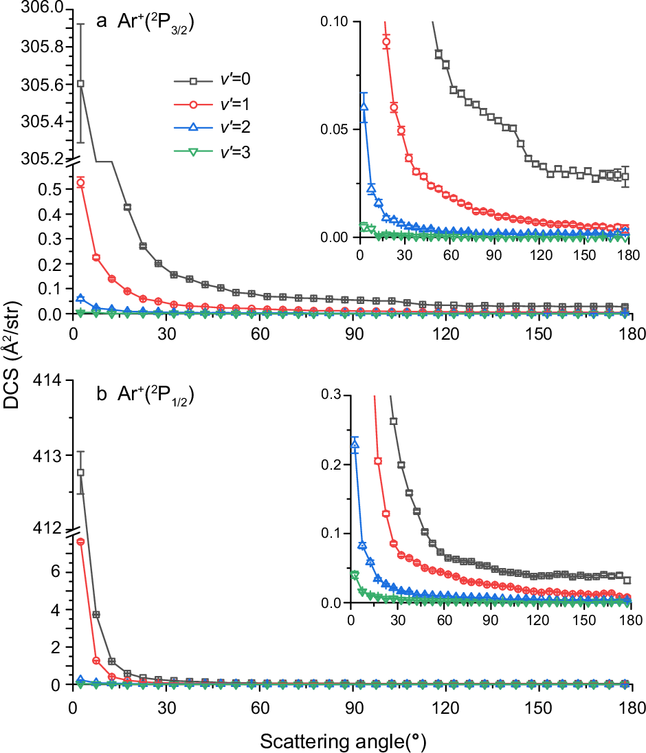
Fig. 4: Product angular distributions.

The calculated product angular distributions (DCSs) for the collisional energy transfer processes (a) Ar+(2P3/2) + N2 → Ar+(2P1/2,3/2) + N2(v′) and (b) Ar+(2P1/2) + N2 → Ar+(2P1/2, 3/2) + N2(v′) at the COM collision energy of 1.58 eV. The statistical error is given by \(\sqrt{({N}_{{total}}-{N}_{r})/{N}_{{total}}{N}_{r}}\), where Nr and Ntotal are numbers of reactive and total trajectories.