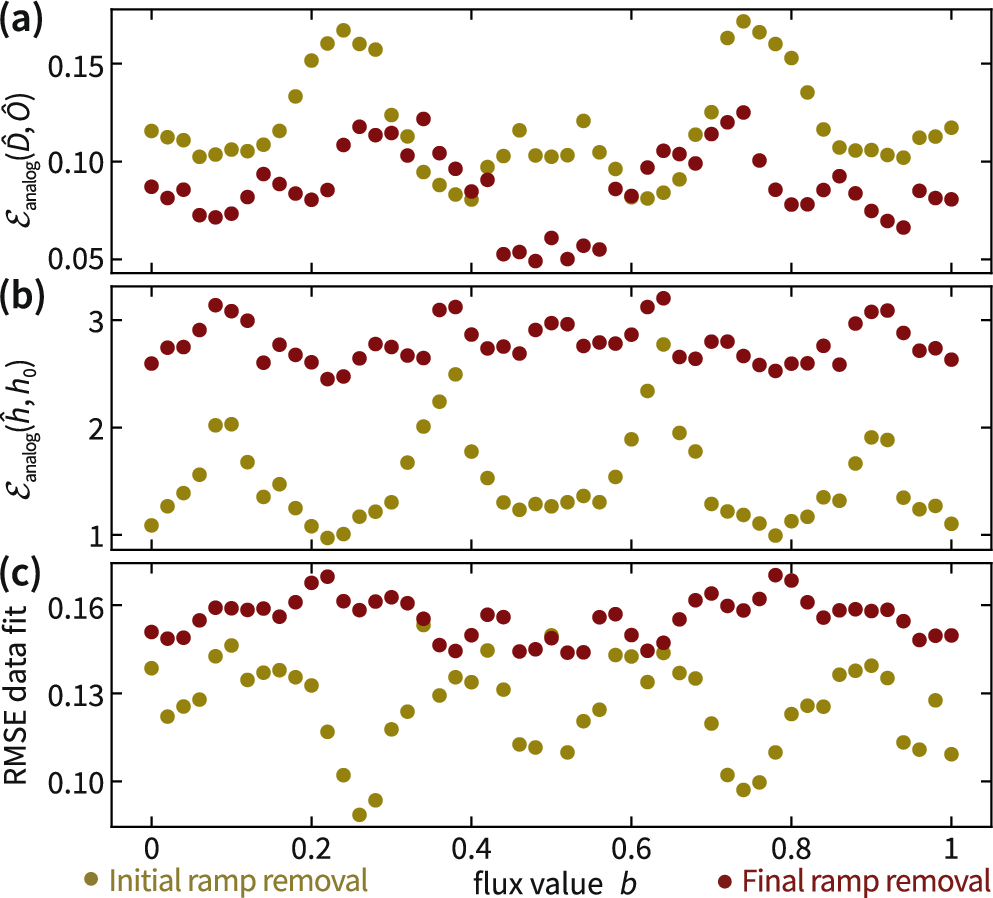
Fig. 6: Initial ramp removal versus final ramp removal.
From: Robustly learning the Hamiltonian dynamics of a superconducting quantum processor

We identify Hamiltonians of a set of 5-qubit Hamiltonians with Hofstadter butterfly potentials \({\mu }_{q}=20\cos (2\pi qb)\) MHz for qubits q = 1, …, 5 and flux value b in without regularization. a Deviation of the orthogonal part \({\hat{O}}_{S}\) (\({\hat{O}}_{M}\)) of the identified initial map \(\hat{S}\) (final map \(\hat{M}\)) from the closest diagonal orthogonal matrix \({\hat{D}}_{S}\) (\({\hat{D}}_{M}\)). b Analog implementation error of the corresponding identified Hamiltonians \({\hat{h}}_{S}\) (\({\hat{h}}_{M}\)). c Total root-mean-square deviation of the time series data from the Hamiltonian fit.