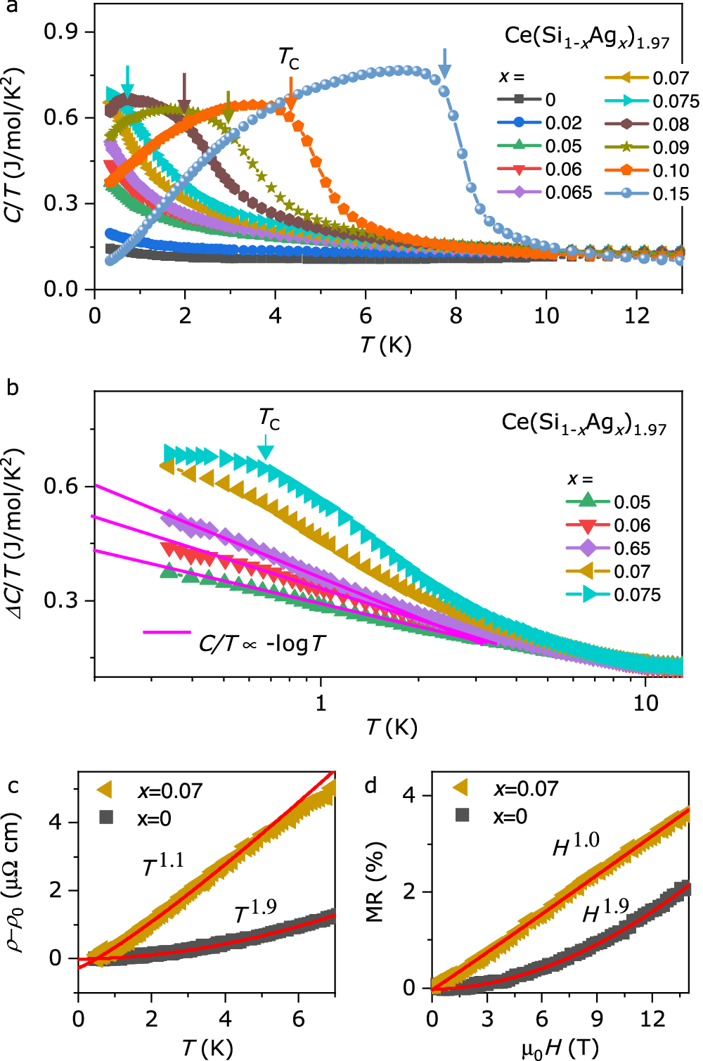
Fig. 2: Non-Fermi-liquid behaviour near the FM QCP of Ce(Si1-xAgx)1.97.
From: Ferromagnetic quantum critical point protected by nonsymmorphic symmetry in a Kondo metal

a Specific heat capacity divided by temperature C/T of Ce(Si1-xAgx)1.97 is plotted as a function of temperature. TC indicates the ferromagnetic transition temperature. b ΔC/T, obtained from subtracting the T3 term from C, is plotted as a function of temperature for x near the critical concentration. The magenta line represents C/T ∝ –logT at low temperatures. c Electrical resistivity ρ after subtracting the residual resistivity ρ0 for x = 0 and 0.07 is plotted as a function of temperature. The red lines are the least-squares fitting using ρ – ρ0 ∝ Tn. d Magnetoresistance MR for x = 0 and 0.07 were measured up to μ0H = 14 T at T = 1 K. The red lines are the least-squares fitting using MR ∝ Hβ.