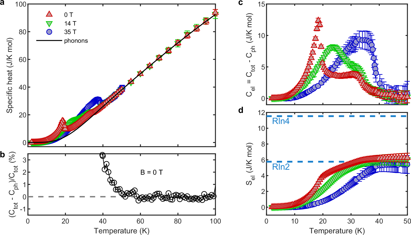
Fig. 4: Specific heat measurements of Ba2MgReO6.
From: Dynamic Jahn-Teller effect in the strong spin-orbit coupling regime

a T-dependence of the total specific heat of Ba2MgReO6. b The relative error of the electronic specific heat after the phonon background subtraction. c T-dependence of the electronic specific heat in various magnetic fields. d T-dependence of recovered entropy. The error bars in Panel (a) are obtained during the measurement as a result of the fitting procedure. The error bars in panels (c) and (d) are calculated based on errors in Panel (a).