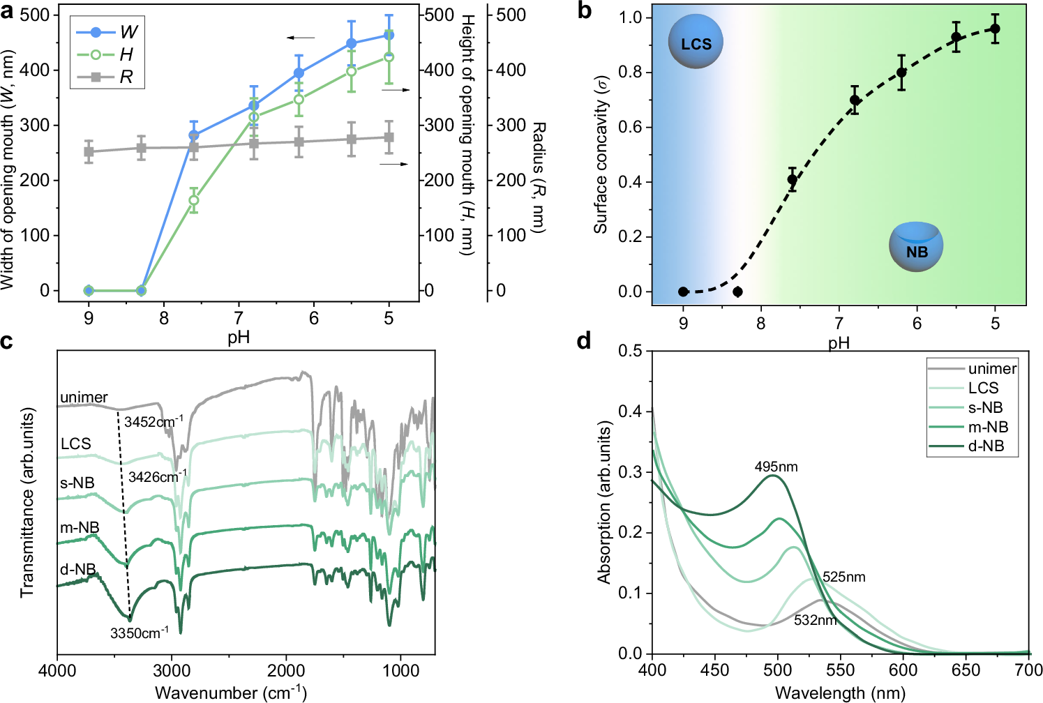
Fig. 4: Geometric parameter change and spectrometric monitoring of diverse nano bowl shapes.

a The width (W) and height (H) of open mouth in assemblies and their radius (R) plotted against solution pH. b The variation of surface concavity (σ) of the assemblies as a function of solution pH. The border between the two colors represents the pH point (~ 8.0) at which the LCSs transform into the NBs. Error bars in (a, b) represent mean ± s.d., with n = 3 independent experiments. c Infrared and d UV-Vis spectral changes monitoring the supramolecular interactions inside the polymer assemblies with various shapes.