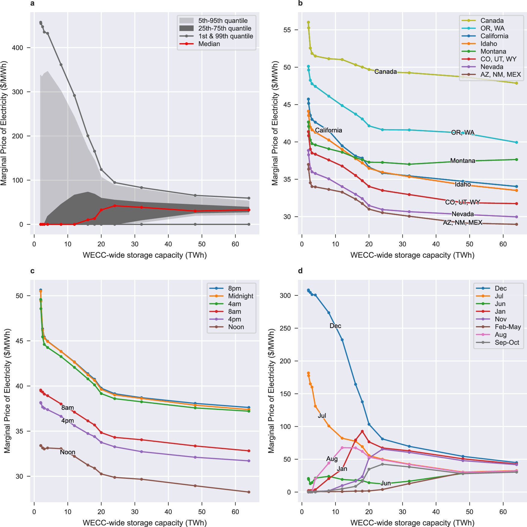
Fig. 6: Impact of long-duration energy storage mandates on the marginal price of electricity.
From: The value of long-duration energy storage under various grid conditions in a zero-emissions future

The total (a), regional (b), hourly (c), and monthly (d) distributions in the mean marginal electricity prices as the amount of mandated long-duration energy storage (in TWh) increases. Increases up to 20 TWh significantly decrease the variability in marginal prices while increases beyond 20 TWh have a lesser effect. Distributions stem from the marginal price of electricity in each load zone and at each timepoint (n = 109, 200).