Fig. 3: Calculations of BMRO.
From: Spectroscopic signatures and origin of hidden order in Ba2MgReO6

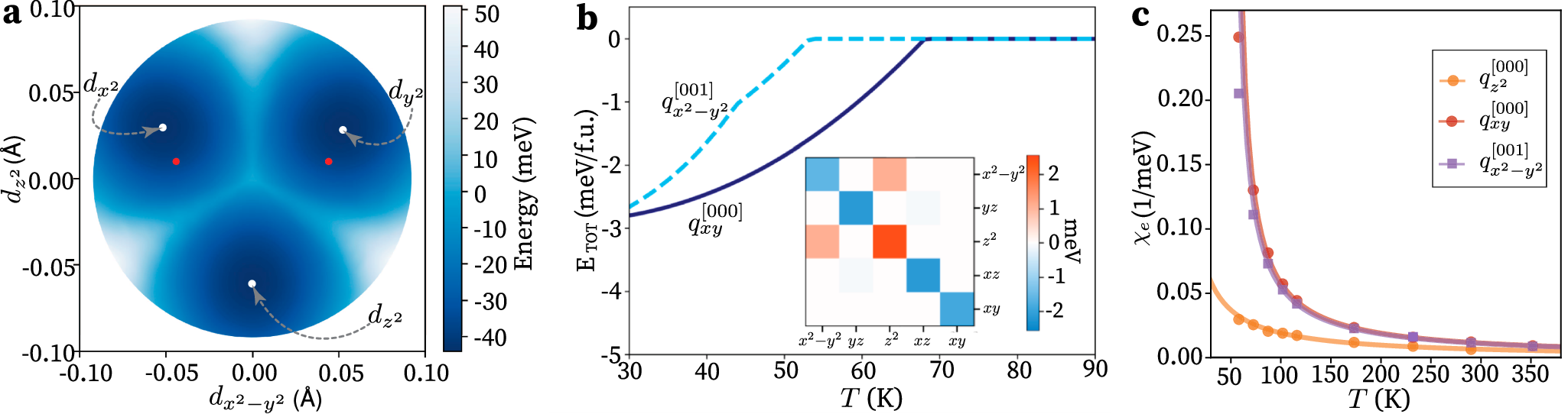
a The potential energy surface of a single ReO6 octahedron in BMRO as a function of \({d}_{{x}^{2}-{y}^{2}}\) and \({d}_{{z}^{2}}\) distortions, compared to the experimental octahedral distortions (denoted with the red dots)3. b Total energy ETOT versus the temperature T calculated within the mean-field approximation from the ab-initio IEI Hamiltonian (Eq. (1)). The solid and dashed curves are the total energies of the t2g ferro-\({q}_{xy}^{[000]}\) and eg antiferro-\({q}_{{x}^{2}-{y}^{2}}^{[001]}\) orders, respectively. Inset: the quadrupole-quadrupole block of the IEI matrix V for the nearest-neighbor xy Re–Re bond, blue (red) colors correspond to ferro (antiferro) couplings. c The electronic susceptibility χe over the temperature T associated with the ferro xy and antiferroic k = [001] x2−y2 quadrupolar orders display Curie-Weiss behavior with a Tq ~ 50 K. On the other hand, the z2 quadrupoles do not diverge at a temperature above zero and thus do not ferroically order spontaneously.