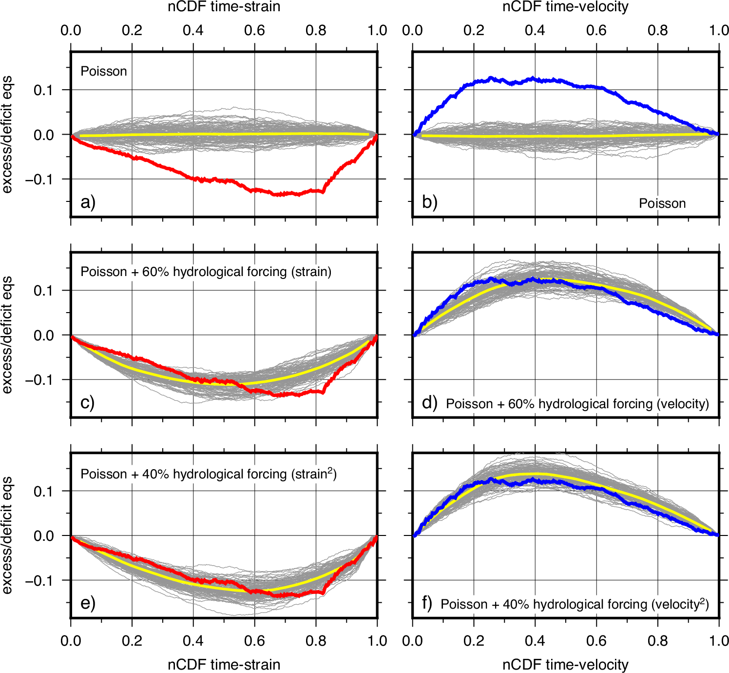
Fig. 4: Modified quantile-quantile plots (QQP) to test correlation of seismicity rate with strain and seismic velocity variations.

The vertical axis is a measure of excess or deficit of earthquakes at a given level of strain (in red, plots a, c, e) or velocity (in blue, plots b, d, f) based on the amount of time spent at or below that level. The horizontal axis is the normalized Cumulative Density Function (nCDF) of time-strain (or time-velocity). Gray lines show synthetic realizations (mean shown in yellow) with variable contribution and increasing effect of hydrological forcing.