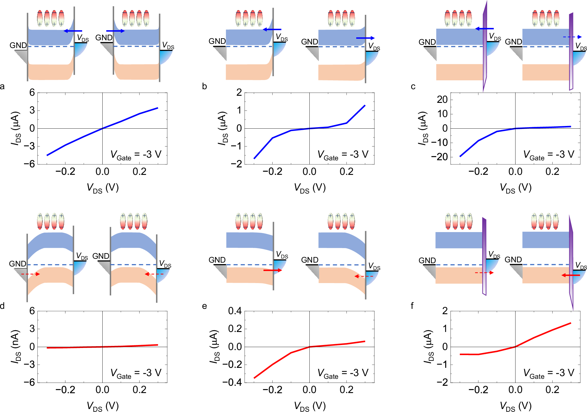
Fig. 4: Polarization-dependent output curves in MoS2-FeFETs with different contacts.

a–c Schematic band alignments and output curves of symmetric Schottky-contacted MoS2-FeFET (a), asymmetric Schottky-contacted MoS2-FeFET (b) and vertical tunneling MoS2-FeFET (c) for downward ferroelectric polarization state. d–f Schematic band alignments and output curves of symmetric Schottky-contacted MoS2-FeFET (d), asymmetric Schottky-contacted MoS2-FeFET (e) and vertical tunneling MoS2-FeFET (f) for upward ferroelectric polarization state. The output curves in a–f along fixed gate voltage correspond to the black dashed lines in Fig. 3a–f, respectively.