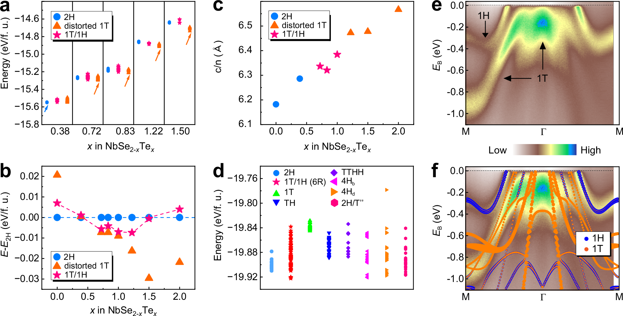
Fig. 3: Formation energies, lattice parameters, and electronic structures of NbSe2-xTex.
From: Self-assembly of 1T/1H superlattices in transition metal dichalcogenides

a Formation energies of 2H, 1T/1H superlattice, and distorted 1T types of NbSe2-xTex at different Te concentrations (x), obtained from density functional theory (DFT) calculations. The most stable doping configuration at each Te concentration is indicated by an arrow. b Relative formation energy of the most stable 2H, 1T/1H superlattice, and distorted 1T types as a function of x, taking the energy of the 2H type as a reference at each Te concentration. c Calculated reduced lattice parameter (c/n) as a function of x. d Formation energies of different stacking configurations at x = 0.83. e Angle-resolved photoemission spectroscopy (ARPES) spectra along the Γ−M direction of the 1T/1H superlattice with x = 0.73, taken using 23 eV photons at T = 10 K. The black arrows mark the band features originating from the 1H and 1T layers, respectively. f Same ARPES spectra as (e), but with the calculated layer-resolved band structure of the 1T/1H superlattice with x = 0.72 superimposed.