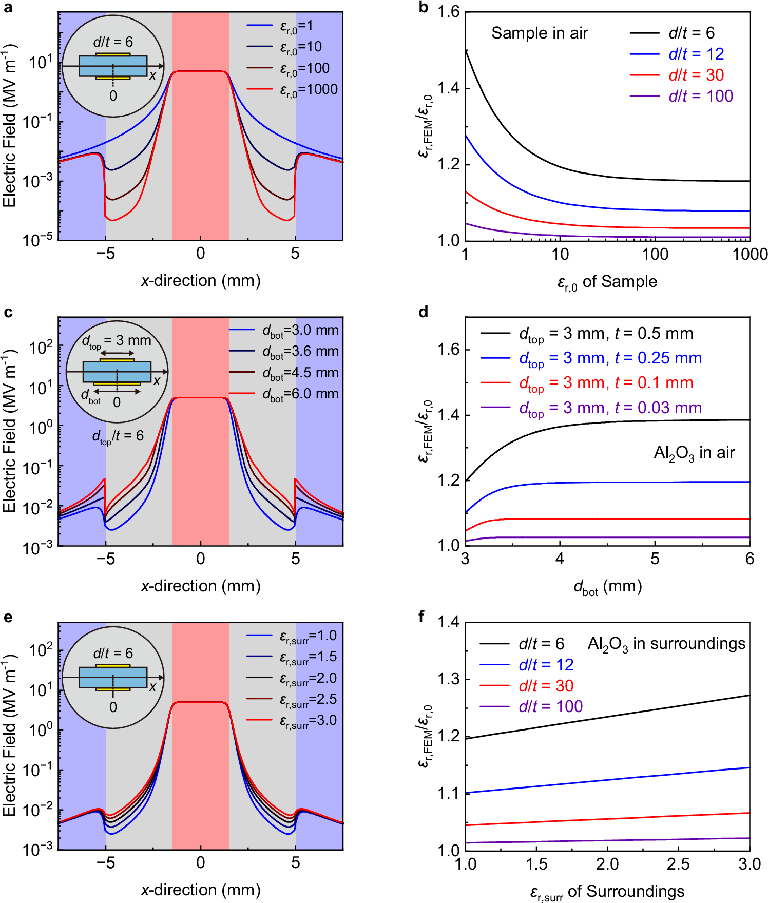
Fig. 5: FEM simulations on samples with different dielectric constants, with symmetric and asymmetric electrodes and in surroundings with different dielectric constants.

a Electric field distributions along the x-direction across the center of the cross-section of samples with different εr,0 in air, for the d/t = 6. b εr,FEM/εr,0 versus εr,0 of sample. c Electric field distributions along the x-direction across the center of the cross-section of Al2O3 in air with different dbot, for the dtop/t = 6. d εr,FEM/εr,0 versus dbot of sample. e Electric field distributions along the x-direction across the center of the cross-section of Al2O3 with d/t = 6 in different surroundings. f εr,FEM/εr,0 versus εr,surr of surroundings.