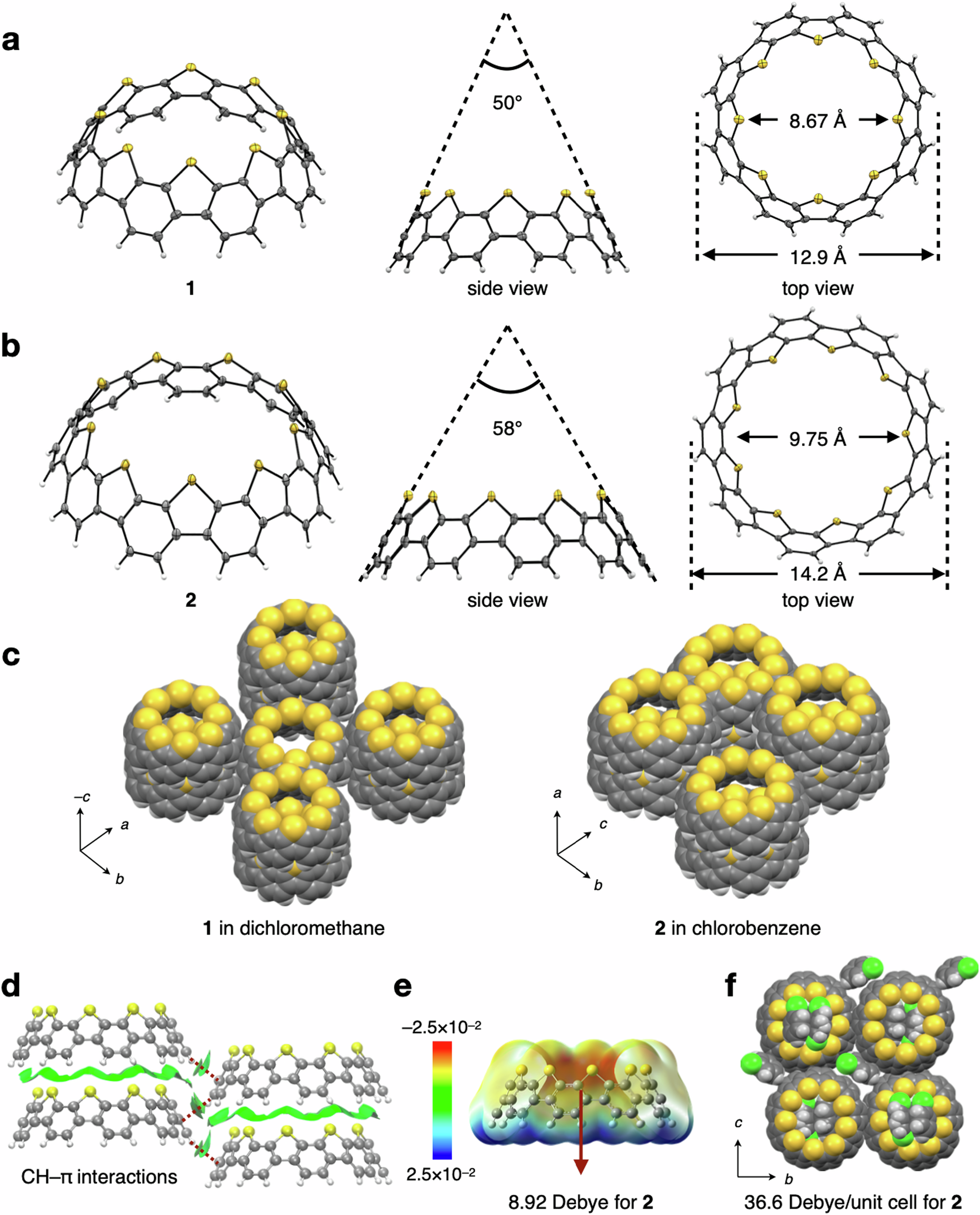
Fig. 2: Structural features of thiophene belts.

The Oak Ridge thermal-ellipsoid plot (ORTEP) drawings of 1 and 2 with thermal ellipsoids at 50% probability (a for 1, b for 2, center: side views and taper angles, right: top views, diameters of inscribed circle and circumscribed circle). Solvent molecules are omitted for clarity. c Packing structures of 1 and 2. Solvent molecules (dichloromethane for the left, and chlorobenzene for the right) are omitted for clarity. d Non-covalent interaction (NCI) plot of 2 visualizing intramolecular interactions using X-ray structure. An isosurface value of 0.30 a.u. is applied to the structure. e Electrostatic surface potential maps calculated for 2 with isovalues plotted at 0.001 and the value of dipole moment for 2. f Unit cell structure for 2 and the value of dipole moment per unit cell.