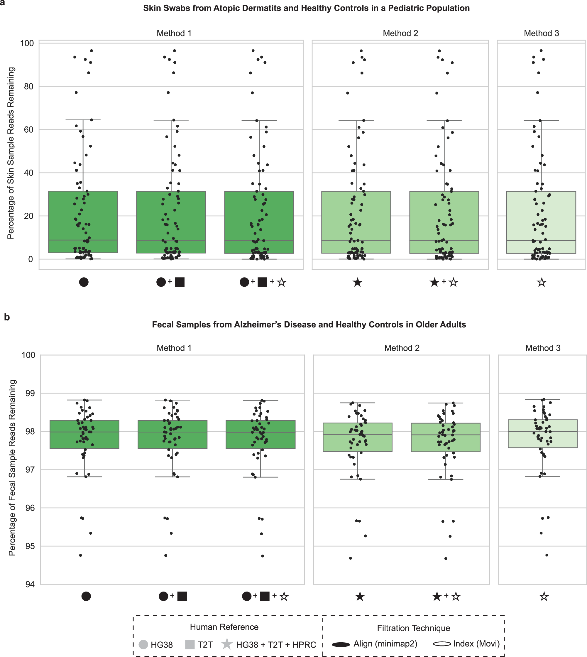
Fig. 5: Comparing human skin and fecal samples across host filtration methods.

a 87 human skin samples were host-filtered with the improved methods, we then calculated the percentage of reads remaining. b We calculated the percentage of reads remaining on a per-sample basis for each of the 50 human fecal samples examined. HG38: GRCH38.p14, T2T: T2T-CHM13v2.0, HPRC: Human Pangenome Reference Consortium 2024 release. Box plots show the median (center line), interquartile range (IQR; Q1–Q3; box), and whiskers extending to Q1 − 1.5 × IQR and Q3 + 1.5 × IQR. Box plots show the median (center line), interquartile range (IQR; Q1–Q3; box), whiskers extending to Q1 − 1.5 × IQR and Q3 + 1.5 × IQR, minimum and maximum values at whisker ends, and points representing individual observations both within and beyond the whisker range.