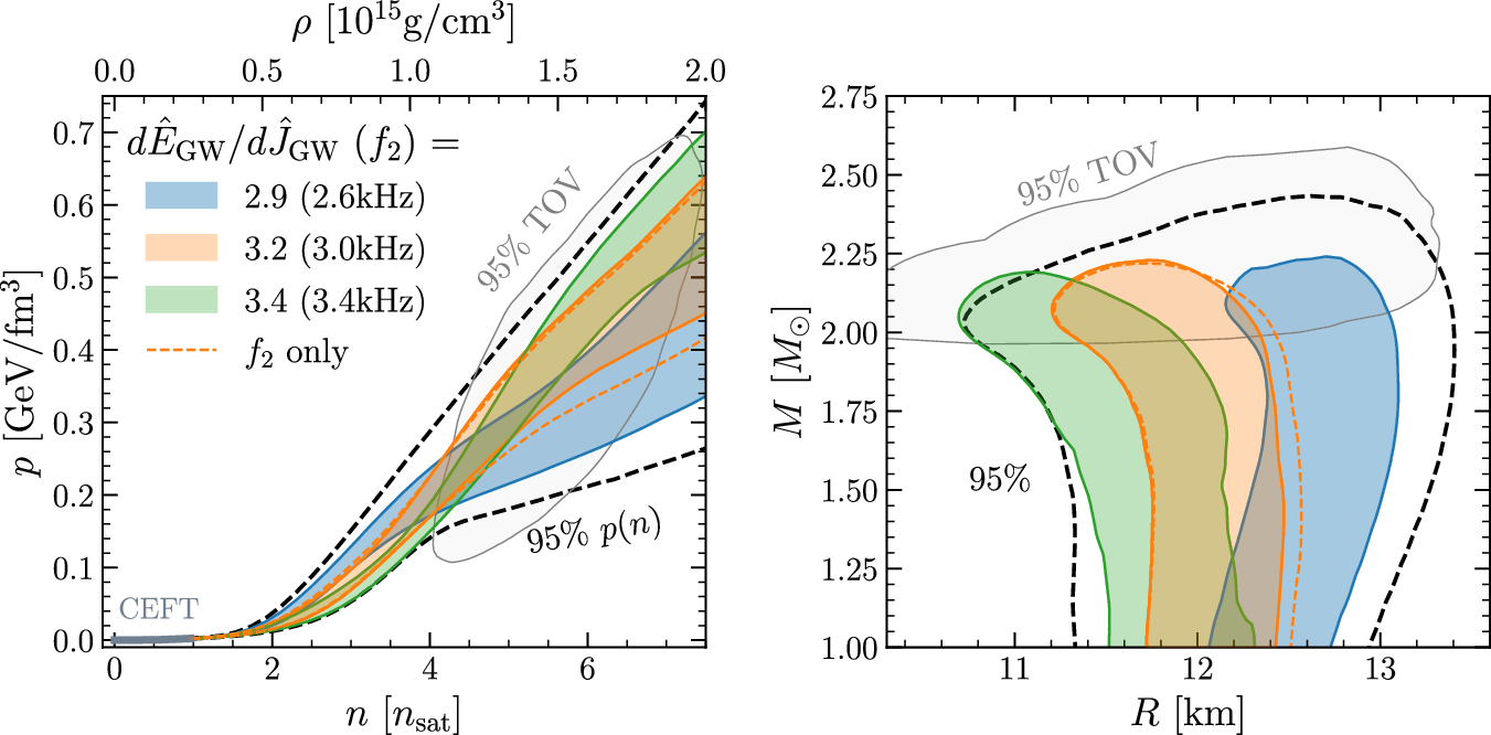
Fig. 4: Impact of slope measurements on the EOS and NS properties.
From: Constraining the equation of state in neutron-star cores via the long-ringdown signal

Left panel Using the same convention as in Fig. 1, we show the 68% credibility values on the (p, n) plane from potential joint measurements of the long-ringdown slope and f2 assuming a flat distribution for q ∈ [0.7, 1] and an uncertainty of ± 4% on the slope and ± 4% on f2. Shown with a dashed line is the result for using only the f2 measurement. Right panel the same but in the (M, R) plane. Source data for this figure are provided as a Source Data file.