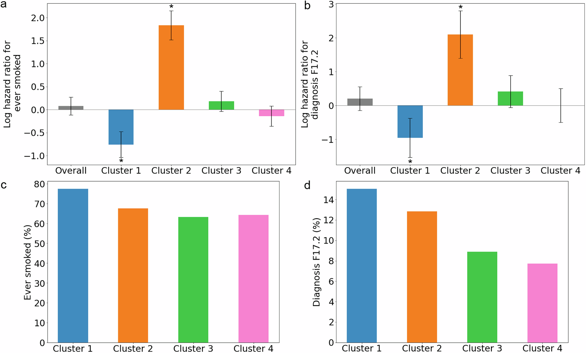
Fig. 5: Association of CD clusters with smoking behavior.

The analyses are based on 1,908 CD patients (n = 1908). a Association of ever having smoked (UK Biobank data field: 20160) with risk of intestinal obstruction (p-values are Overall: 0.45, Cluster 1: 1.06 × 10−07, Cluster 2: 1.23 × 10−29, Cluster 3: 0.109, Cluster 4: 0.200) and b Association of nicotine dependence with risk of intestinal obstruction (ICD-10 code: F17.2) (p-values are Overall: 0.26, Cluster 1: 0.001, Cluster 2: 4.23 × 10−09, Cluster 3: 0.09, Cluster 4: 0.99). Data are presented as mean values ± 95% confidence intervals. They are estimated using two-sided Cox proportional hazards regression models. And the asterisk represents the significance of the p-value < 0.05 (multivariate Cox regression). c Percentage of patients who ever smoked (p-value: 1.86 × 10−05) and d Percentage of patients with nicotine dependence (ICD-10 code: F17.2) (p-value: 0.001). Significance is assessed using multinomial logistic regression with log-likelihood ratio test, which is a two-sided test.