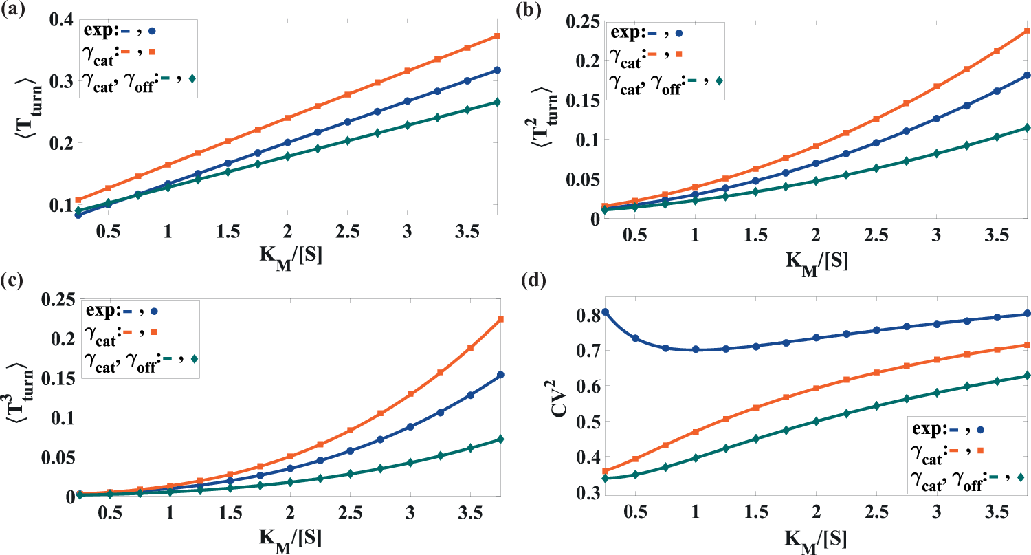
Fig. 3: Moments and squared coefficient of variation of the turnover time distribution.

a The mean turnover time, \(\left\langle {T}_{{turn}}\right\rangle,\) as a function of the reciprocal of the substrate concentration, \(\left[S\right]\) (measured in units of the Michaelis-Menten constant, \({K}_{M}\)). We assume a Markovian substrate binding process and consider three different cases for catalysis and unbinding: (i) exponential catalysis and unbinding times (\(\exp :\) blue), (ii) Gamma distributed catalysis time and exponential unbinding time (\({\gamma }_{{cat}}:\) orange), and (iii) Gamma distributed catalysis and unbinding times (\({\gamma }_{{cat}},\,{\gamma }_{{off}}:\) green). Solid lines come from Eq. (8) which is corroborated by numerical simulations (symbols). In all cases the linear relation predicted by Eq. (8) is shown to hold. b Same as a, but for the second moment \(\left\langle {T}_{{turn}}^{2}\right\rangle\) of the turnover time. c Same as a, but for the third moment \(\left\langle {T}_{{turn}}^{3}\right\rangle\) of the turnover time. d Same as a, but for the squared coefficient of variation, \({{CV}}^{2}=\frac{\left\langle {T}_{{turn}}^{2}\right\rangle -{\left\langle {T}_{{turn}}\right\rangle }^{2}}{{\left\langle {T}_{{turn}}\right\rangle }^{2}}\). It can be appreciated that higher moments, and the squared coefficient of variation, are highly non-linear with respect to the reciprocal of the substrate concentration. Source data are provided as a Source Data file. Codes employed for generating these data sets have been supplied as Supplementary Software.