Fig. 6: Mechanism experiments.
From: Selective transformation of propargylic ester towards tunable polymerization pathways

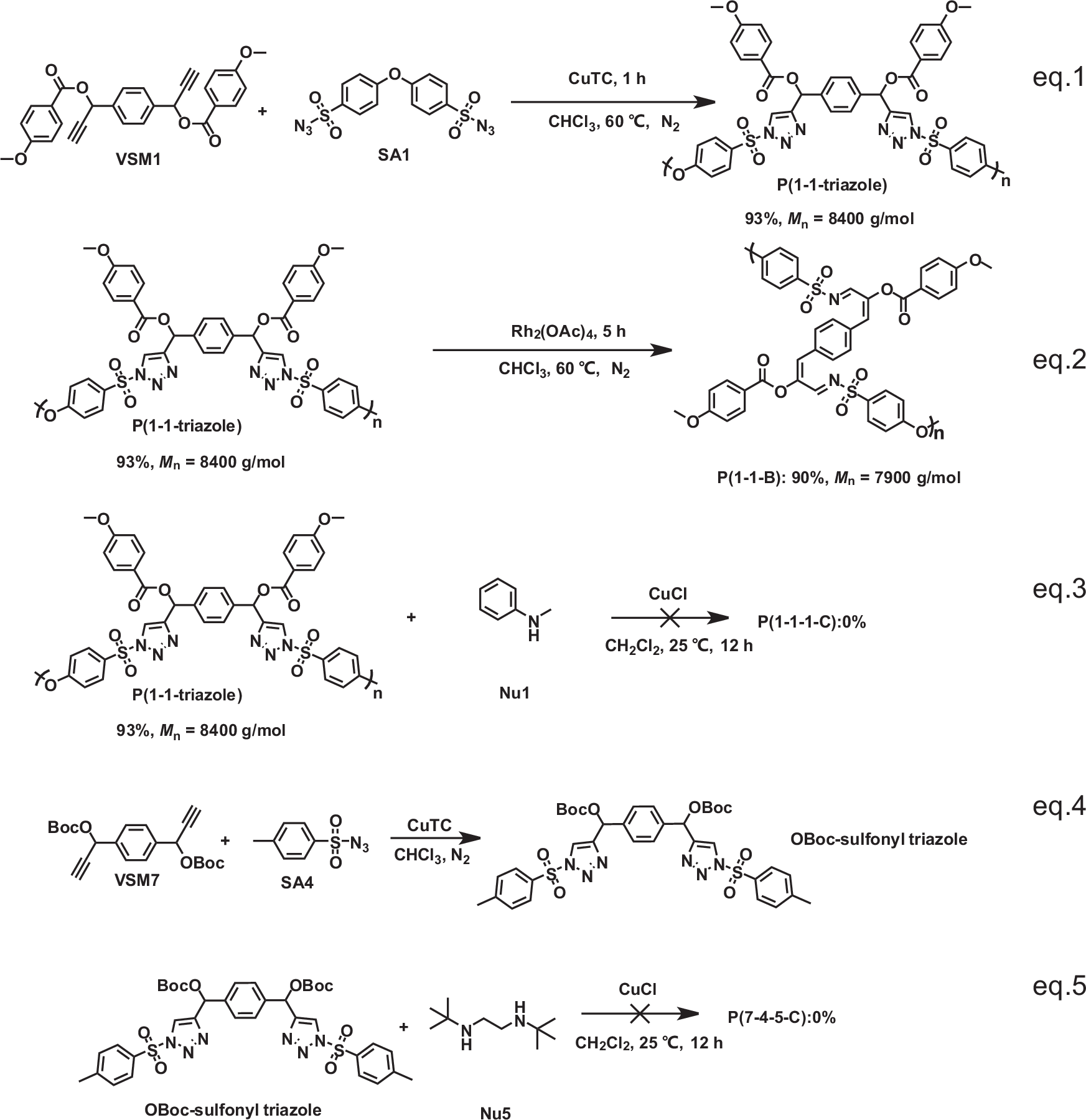
Control experiments for the polymerization mechanism study.
From: Selective transformation of propargylic ester towards tunable polymerization pathways

Control experiments for the polymerization mechanism study.