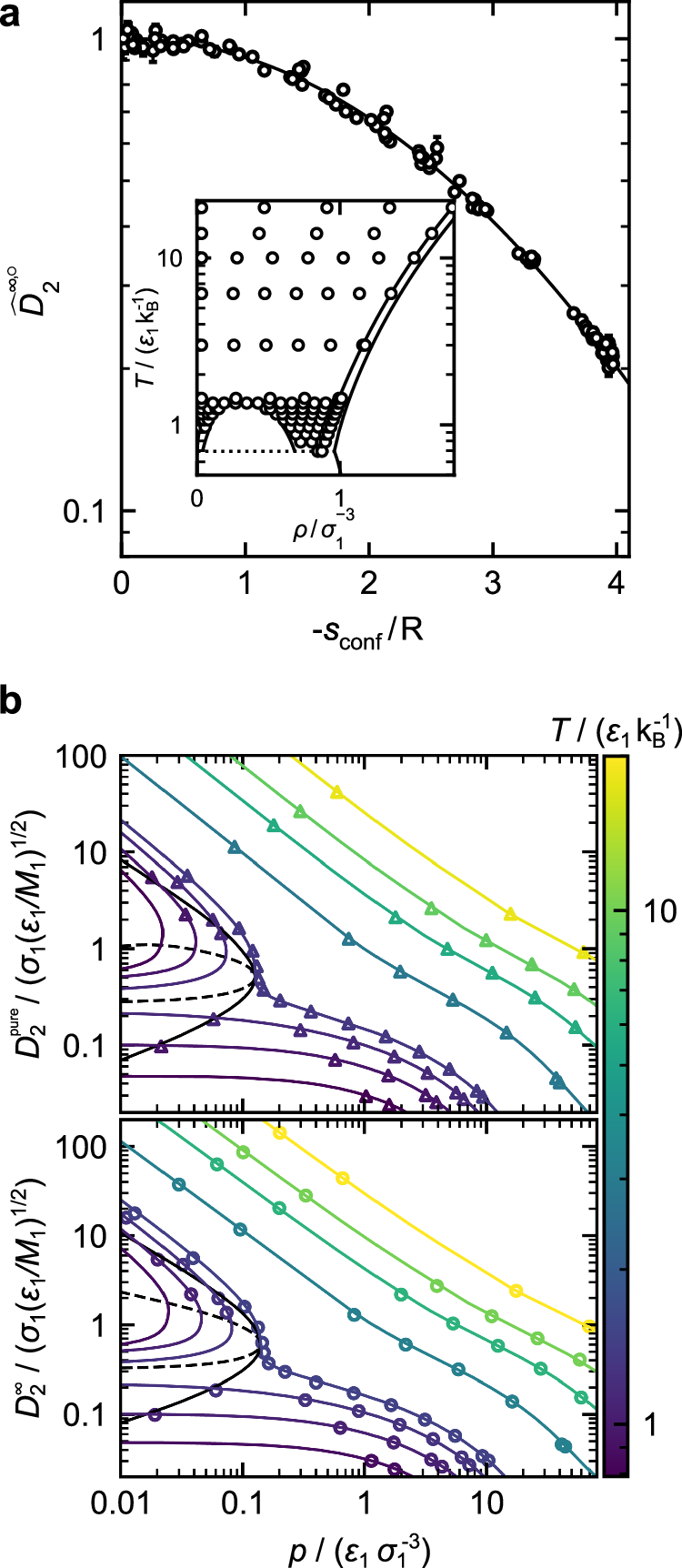
Fig. 2: Entropy scaling of diffusion coefficients in a Lennard-Jones mixture with σ2 = σ1, ε2 = 0.9 ε1, and \({\varepsilon }_{12}=1.2\,\sqrt{{\varepsilon }_{1}{\varepsilon }_{2}}\).
From: Entropy scaling for diffusion coefficients in fluid mixtures

a Scaled infinite-dilution diffusion coefficient of component 2 \({\widehat{D}}_{2}^{\infty,\circ }\) as a function of the reduced configurational entropy sconf/R. The line indicates the entropy scaling model. Symbols are MD simulation data from this work. The inset shows the simulation state points in the temperature-density phase diagram of component 1. Therein, solid lines indicate the phase envelopes from refs. 46,47. b Self-diffusion coefficient of component 2 \({D}_{2}^{{\rm{pure}}}\) (top) and infinite-dilution diffusion coefficient of component 2 \({D}_{2}^{\infty }\) (bottom) as a function of the pressure. Lines are the entropy scaling model and symbols are simulation results from ref. 17 (\({D}_{2}^{{\rm{pure}}}\)) and from this work (\({D}_{2}^{\infty }\)). The black solid line indicates the vapor–liquid equilibrium, and the black dashed line is the corresponding spinodal. Colors indicate the temperature. Source data are provided as a Source Data file.