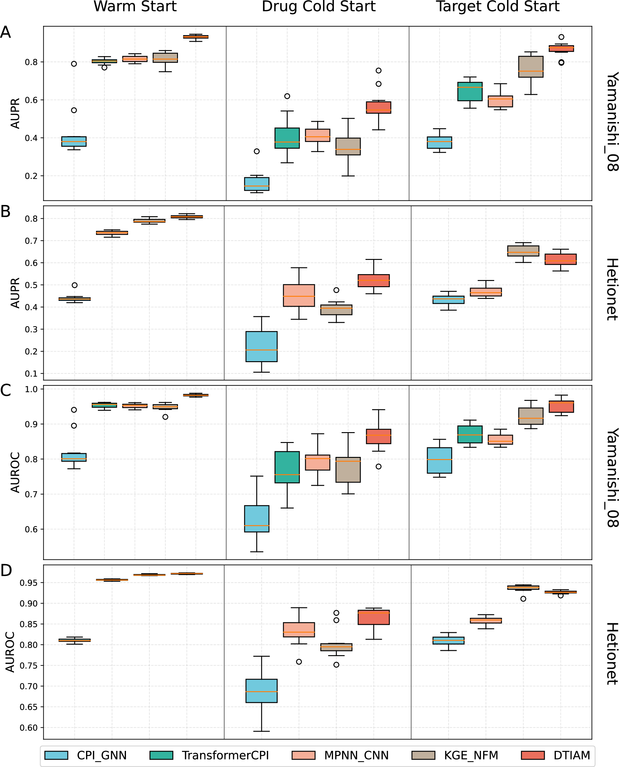
Fig. 2: Performance evaluation on the DTI prediction task.

The performances of DTIAM and baseline models were evaluated in terms of AUPR and AUROC on the Yamanishi_08's and Hetionet datasets under three experiment settings. A, B AUPR of different prediction models on the Yamanishi_08's and Hetionet datasets under three experiment settings. C, D AUROC of different prediction models on the Yamanishi_08's and Hetionet datasets under three experiment settings. All results were obtained by 10-fold cross-validation. The ratio between the positive and negative samples is 1:10. Box plots show the median as the center lines, upper and lower quartiles as box limits, whiskers as maximum and minimum values, and dots represent outliers.